1. Einführung
2. Gravitation, Entropiekraft und Raumzeit
3. Entropiekonstante des kosmischen Universums
4. Dunkle Energie und Dunkle Materie
5. Beschleunigte Expansion des Universums
6. Grenzwerte im Mikrokosmos
7. Betrachtungen im übergreifenden Universum
8. Entropiekraft und Dunkle Materie in kosmischen Systemen
9. Quantenphysikalische Gravitations-, Entropie- und Energiefelder
10. Bosonen, Fermionen und das Gravitationsentropiefeld
11. Massen, Ladungen und Energien von Elementarteilchen
12. Quantenmechanische Vermittlung der vier Fundamentalkräfte
13. Entropiefeld und Kosmologisches Standardmodell
14. PDF Download / Tabellen A und B
12. Quantenmechanische Vermittlung der vier Fundamentalkräfte
Da Massen bzw. Energien und Ladungen, damit also Gravitations- und Ladungspotentiale (als Summe sämtlicher Quantenzustände) als äquivalent zu betrachten sind, müssten sich demzufolge in letzter Konsequenz auch Materie und Antimaterie, ergo negativ geladene und positiv geladene Teilchen anziehen, Materie und Materie bzw. Antimaterie und Antimaterie dagegen, ergo gleich geladene Teilchen abstoßen. Die Abstoßung ist dabei der symmetrisch in der Zeit umgekehrte Ablauf der Anziehung oder je nach Betrachtungsweise auch anders herum, wobei im einfachsten Falle von Teilchenpaaren jedes Teilchen ein gegenüber dem anderen ruhendes System von zwei Inertialsystemen darstellt.
Die gerade gemachten Aussagen treffen allerdings in der Regel nur dann zu, wenn man ausschließlich die potentiellen Gravitations- bzw. Ladungsenergien ζm2/R und Qe2c2/107R betrachtet, welche sich im quantenphysikalischen Falle zusammen mit der heuristischen Kinetik der Heisenbergschen Unbestimmtheit gemäß Postulat 4 zu ħ2/2mR2– ħcα/R mischen, was zu minimalen stabilen und damit diskret quantifizierbaren Vertices der Kräfteübertragung auf den Skalen ħ/mcα führt.
Bringt man nun aber die entropischen Energien mit ins Spiel, so ergeben sich unter Umständen völlig andere Potentialverläufe innerhalb der Unbestimmtheitszonen ħ/mc. Denn wie noch zu zeigen ist, liegt gerade die Tatsache, dass das elementare Teilchen Elektron und sein Neutrino nicht der Starken Wechselwirkung unterliegen ausschließlich im Vorhandensein entropischer Potentiale begründet.
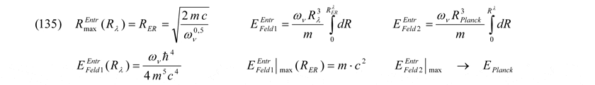
Positive entropische Potentiale weisen nämlich Skalengrenzen mit einem Energiemaximum bei (2mc/ω1/2)1/2 auf, welche sich aus obiger Betrachtung der Gleichungen (105) und (106) ergeben und relativistische Ursachen haben. Interessant in diesem Zusammenhang ist deswegen, weshalb ein Maximum bei ganz bestimmten Skalenwerten erreicht wird.
Für Elementarteilchen mit Ruhemassen m0 stellt sich nämlich dieser Zusammenhang zwischen den Geschwindigkeiten v, der relativistischen dynamischen Massen m, entropischer Energien EEntr und der maximalen Skalengrößen RER folgendermaßen dar:

Weil bei einer Vergrößerung der Skalen R die Geschwindigkeitspotentiale v(R)2 aus relativistischen Gründen spätestens ab der Grenzgröße RER dauerhaft auf Null zurückfallen, resultiert daraus auch für Teilchen, die sich mit Unterlichtgeschwindigkeit bewegen, ein maximales Entropiemaxima von der Größe der Einsteinschen Formulierung m·c2 für die dynamische Energie. Innerhalb der Heisenbergschen Unbestimmtheitszone eines Teilchenfeldes, welches Ruhemassen erzeugt, können deshalb auch durch entropische Effekte nur Energien von maximal m·c2 erreicht werden. Durch die Einführung der neuen Theorie bleiben das Vakuumfeld und sein dazugehöriges Teilchen absolut invariant und die Konsistenz mit der herkömmlichen Quantentheorie sowohl für mit Lichtgeschwindigkeit bewegte als auch ruhemassebehafteter Teilchen gewahrt. Für alle Elementarteilchenfelder gilt deshalb aus entropischer Sicht:

Da, wie bereits mehrfach diskutiert, die Inertialsysteme des Teilchens und dasjenige seines Feldes invariant sind, müssen nun auch alle möglichen herkömmlichen quantenmechanischen Potentialfelder mit dem entropischen Energiefeld gemischt werden bzw. umgekehrt betrachtet: Weil sich aus sämtlichen Kombinationen gravitativer, quantenmechanischer und entropischer Potentialgrößen spezielle resultierende skalenabhängige Funktionen als Erzeuger und Charakterisierer von Teilchen ergeben, sind Felder und dazugehörige Teilchen als identisch anzusehen.
Neben den sich innerhalb der Unbestimmtheitszone (von 0 bis Rλ) befindlichen zwei entropischen positiven Feldpotentialen EEntr 1 und 2 müssen deshalb vier weitere quantenmechanische Zusammenhänge herangezogen werden: Die ebenso in der Heisenbergschen Unbestimmtheit liegenden negativen kumulierten gravitativen Energiefeldpotentiale EGrav 1 und 2 des Teilchenfeldes (Inertialsystem IS 1). Sowie die zwei positiven Potentiale der quantenmechanisch determinierten Impulsenergie EIm der resultierenden Elementarteilchen (Quant mit und ohne (m0 und Ph) Ruhemasse (Inertialsystem IS 2)):

Der Vollständigkeit halber und für spätere Betrachtungen sind in (136) auch die außerhalb der Unbestimmtheitszone (von Rλ bis ∞) verbleibenden Ladungs- und Impulspotentiale der resultierenden Quanten mit Ruhemasse und derer masseloser Photonen (Inertialsystem IS 2) ebenfalls mit angegeben worden.
Die skalenabhängig erfolgte Diskussion über Grenzwerte sowie Maxima verschiedenster Potentiale wird nun auch für die anderen Energiepotentiale geführt und im Anschluss mit den entropisch bedingten Energiewerten kombiniert. Hier ergeben sich dann interessante Aussagen über das Kopplungsverhalten der zu betrachtenden Elementarteilchen für sich und untereinander durch die Wechselwirkung in und mit den relevanten Potentialfeldern.
Betrachten wir vorerst nur die gravitativen und quantenphysikalischen Wechselwirkungen: Die Vermischung von EFeld 2 und EIm ergibt einen Graphen, welcher in Auswertung der 2. Ableitung der Summe einen Wendepunkt RWP in ca. 1,44-facher Entfernung außerhalb des Ortes der Unbestimmtheitsgrenze aufweist.

Da aber aufgrund der Postulate 3 und 4 das Energiepotential EFeld2 an der Unbestimmtheitsgrenze Rλ = ħ/mc endet, hat die Minimalenergie der gemischten Energien EFeld 2 und EIm einen Wert von –½mc2.

Fehlt nur noch die Energiemelange außerhalb der Heisenbergschen Unbestimmtheitszone, nämlich aus ELadung und EIm. Auch hier ist ein Skalen- und Energieminimum nach Auswertung der ersten Ableitung der Summe zu ermitteln:

Das entsprechende Energieminimum beträgt nur ungefähr ein Hunderttausendstel von – mc2,

der Wert der Energie aus ELadung und EIm an der Unbestimmtheitsgrenze Rλ dagegen ca. 0,49·mc2.

Ohne entropische Energiepotentiale tragen wir also vorerst unsere Ergebnisse skalenabhängig, nicht maßstabsgerecht in einem Diagramm zusammen, um den resultierenden Kurvenverlauf der allgemeinen Übersicht wegen grob nachvollziehen zu können.
Abbildung 17: Energiepotentialverläufe von Teilchen mit Ruhemasse ohne Einfluss entropischer Potentiale

Die Betrachtung unterschiedlich (sich neutralisierender) geladener Elementarteilchen mit Ruhemassen führt uns zu einer weiteren, jetzt nicht zu übersehenden Konsequenz, weil auf einmal nicht mehr ganz vernachlässigbare Wechselwirkungen, nämlich die der Gravitation, zu Tage treten. Das hat damit zu tun, dass gleiche entgegen gesetzte Ladungen das Energiepotential ELadung über alle Skalen letztendlich auf Null setzen, so dass außerhalb des Heisenbergschen Potentialtopfes eigentlich nur noch das Potential EIm aktiv sein sollte. Doch nun kommt ein bis dato aus EFeld1 abgestrahltes vernachlässigbares Energiepotential EGrav (gestrichelte orange Linie in Abbildung 17) zur Geltung, das, weil es nur bei Ladungsneutralisierung in Verbindung mit EIm mit einem Minimum relevant wird, immer anziehend wirkt: Die altbekannte Gravitation mit der Energie Egrav, welche bis hierher nicht in Betracht gezogen wurde, weil sie gegenüber allen anderen Potentialen vernachlässigbar klein war. Sie steht also dann mit dem auch außerhalb der Unbestimmtheit wirkendem Impulspotential in einem solchen Zusammenhang, dass sich nach Auswertung der 1. Ableitung der Energiesummierungen folgende Skalen Rmin mit den dazugehörigen minimalen Energien Egrav ergeben:

Auf das das neutrale Teilchensystem Wasserstoffatom angewandt, ergeben sich nun z. B. folgende Werte:

Das Verhältnis der Unbestimmtheitszone Rλ zur Skala Rmin des Energieminima Emin ergibt ziemlich exakt die auf das Proton bezogene konventionelle Kopplungskonstante für die Gravitative Wechselwirkung αGR.
So profan sich also die herkömmliche Gravitation durch Ladungsneutralisation der negativen und positiven Energiebeträge ħcαEM/R erklärt, genauso simpel ist die Begründung für die Schwäche der Gravitation gegenüber den anderen drei Wechselwirkungen: Nämlich das außerhalb der Unbestimmtheit verbleibende nicht kumulierte ebenfalls kugelschalenförmig abstrahlende Energiepotential Egrav mit dem Kräfteabfall R-2 nach dem Newtonschen Gravitationsgesetz sowie des quantenphysikalischen positiven Impulspotentials EIm der Größe ħ2/2mR2.
Auch die Gravitation hat also im quantenphysikalischen Sinne ein diskretes Energieniveau an der Stelle Rmin. Auf den gegenüber größeren Skalen allerdings, wo das Impulspotential EIm hinsichtlich des reinen Gravitationspotentials keine Rolle mehr spielt, gilt dann allein das Newtonsche Abstandsaxiom mit theoretisch möglichen unendlich vielen und von rein mechanischen Impulsen/Drehimpulsen abhängigen kontinuierlichen Energieniveaus, genau wie in der klassischen Physik.
Somit gehen die vier Wechselwirkungen (stark, schwach, elektromagnetisch und gravitativ) alle auf das Konto eines einzigen, nämlich des, allerdings dreifach (durch die Einsteinsche Relativitätstheorie, das Heisenbergsche Unbestimmtheitsprinzip und der hier dargelegten Theorie) modifizierten, Newtonschen Gravitationsgesetzes.
Da die Kopplungskonstanten durchaus auch indirekt interpretiert werden können, als das anteilige Geschwindigkeitspotential bezogen auf die Lichtgeschwindigkeit, sollte man im Falle des sich im neutralen Wasserstoffatom befindlichen gebundenen Protonsystems (uud) die Wahrscheinlichkeit der starken Wechselwirkung leicht ausrechnen können, wenn man die hypothetischen Massen der drei im Proton enthaltenen Quarks kennt. Wir nehmen diese aus unseren empirischen Formeln (109) sowie (112) und erhalten so für die normale (nichtrelativistische) Summe von zwei up- und einem down-Quark eine Masse mQ von 1,513235·10-29 kg gegenüber einer Protonenmasse mPr von 1,67262·10-27 kg. Wenn wir die relativistische Formel für dynamische Massen entsprechend umformen, bekommen wir über die Formulierung (129) die Kopplungskonstante der Starken Kraft αST und weiterhin die dazugehörige Wahrscheinlichkeit der Schwachen Wechselwirkung αSW,

deren verdoppelte Summe für das Antimaterie-Materie-Vakuumfeld auffällig genau Eins ergibt, was nicht besser die weiter oben erwähnte Invarianz der Lichtgeschwindigkeit und αneu unter Wegfall aller anderen Größen in den Inertialsystemen Feld und Teilchen im speziellen Fall des uud-Systems Proton unterstreichen kann.
Veranschaulichen wir uns das oben Genannte in der folgenden Abbildung, welche ebenfalls der Übersicht wegen nicht alle Details maßstabsgetreu wiedergibt.
Abbildung 18: Resultierende Potentialverläufe eines neutralisierten (Q=0) und nicht neutralisierten Protons

Auffällig in den Abbildungen 17 und 18 sind die resultierenden Energiepotentiale innerhalb des Heisenbergschen Unbestimmtheitsbereiches. Es ergibt sich nämlich eine negative Energiefalle einer Breite von ca. 0,2 mit einem Energieminimum bezogen auf den Potentialtopfrand (den Einfluss des negativen Gravitationspotentials EFeld1 aufgrund seiner Vernachlässigbarkeit nicht beachtend) von 0,5. Außerdem steigt zu kleineren Skalen das Potential steil an, während es am Potentialtopfrand gar einen unendlichen Anstieg aufweist. Dieses Feld stellt somit nichts anderes dar, als das Potential einer „Asymthodischen Gefangenschaft“: Das Gluonen bildende Potential der Starken Wechselwirkung. Warum?
In Verbindung mit dem positiven Betrag von 0,5 der Bewegungsenergie müsste somit mindestens eine Energiehürde von E = m·c2 überwunden werden, um von einem gebundenen System zu einem größerskaligen ungebundenen System zu kommen. Um aber überhaupt zu größeren Skalen aus der Unbestimmtheitsgrenze heraus zu gelangen, nur so könnte man die rechte m·c2-Grenze überwinden, müsste man wegen des unendlichen Anstieges des Energiegraphen aber auch unendliche Beschleunigungskräfte aufwenden. Ein Überschreiten dieser Hürde ist deshalb per se unmöglich. Dies ist überhaupt kein Paradoxon, die Konsequenz ist einfach, dass die Möglichkeit einer Befreiung zu einem ungebundenen System zur flachen Rauzeit hin für immer und ewig ausscheidet.
Deshalb kommt man nur in Bereiche kürzerer Skalen, wenn die Energie des betreffenden Systems erhöht wird. Schauen wir uns die Resultierende aus Abbildung 17 an, kann man durchaus zu einem quasi ungebundenen System im Bereich zwischen ca. 0,8 und 0,6 gelangen. Das System ist nun zwar getrennt und auch als solches experimentell beobachtbar (Streuung an Quarks), existiert aber nur innerhalb eines sehr eingeschränkten Skalenbereiches. Wird die Energie nun ab einem Bereich von kleiner ca. 0,6 über den Wert von m·c2 erhöht, entstehen logischerweise weitere Systemteile mit wieder eigenen Feldern der Starken Wechselwirkung, welche ihrerseits abermals gemäß obiger Argumentation eingesperrt sind.
Vernachlässigt man die entropisch positiven Unbestimmtheitspotentiale, so müsste eigentlich für alle Elementarteilchen mit Ruhemasse strikt gelten, dass jene allesamt aus Teilchensystemen bestehen, die innerhalb ihres Unbestimmtheitsbereiches einer „Asymthodischen Gefangenschaft“ unterliegen bzw. anders ausgedrückt: Die gluonische Wechselwirkung der Starken Kernkraft wächst mit der Entfernung bis zu einem ausgeprägten Minimum sehr stark an und endet abrupt an der Grenze der Heisenbergschen Unbestimmtheit, wie uns die folgende Abbildung für das Proton sehr anschaulich zeigt.
Abbildung 19: Energiepotentialverläufe eines Protons als Dreiersystem aus zwei up- und einem down-Quark

Dem Beispiel des Systems „Proton“ in Abbildung 19 ist nun wirklich nichts mehr hinzuzufügen, was nicht schon hinlänglich bekannt und experimentell bestätigt ist. Es sei jedoch noch einmal erwähnt, dass das Proton nur bei geringen Energien ein quasi einzelnes Elementarteilchen darstellt, was sich sofort zu höheren Energien hin ändert. Dort sind nämlich sowohl zwei up- als auch ein down-Quark identifizierbar. Erhöht man die Energie weiter, zwingt man das System überdies dazu, weitere Gluonen-Quark-Felder zu produzieren. Freie Quarks sind somit niemals existent.
Worauf allerdings basiert die berechtigte Existenz eines solchen Potentials der Starken Wechselwirkung im Heisenbergschen Skalenbereich auch im Zusammenhang mit dem Postulat der allgemeinen Energieerhaltung? Wir lassen entropische Potentiale vorerst noch außen vor und führen die resultierende Potentialkurve Eresult wieder zurück auf den Graphen des quantenphysikalischen positiven Impulspotentials EIm des feldinduzierten Quants sowie der negativen kumulierten Energie des virtuellen Materie-/ Antimateriefeldes EFeld2. Innerhalb des Potentiales (Heisenbergsche Unbestimmtheitszone) ist selbst eine Energieerhaltung unter dem Gesichtspunkt einer Erhaltung des Drehimpulses ID nicht zu gewährleisten. Drehimpulse bzw. Wirkungen ergeben sich, wenn man Energien über die Zeit integriert. Da quantenphysikalisch gesehen Skalen gebundener und ungebundener Inertialsysteme aus Feld und Teilchen äquivalent der Zeit sind und die dazugehörige Invariante die Lichtgeschwindigkeit c ist ergibt sich,

was im krassen Gegensatz zur Erhaltung des Drehimpulses bzw. der Ladung steht. Erweitert man jedoch das betreffende System über Rλ hinaus bis theoretisch ins Unendliche, sieht die Sache auf einmal ganz freundlich aus, wenn wir wiederum von unserem resultierenden Potential weggehen und sozusagen „über Kreuz“ den negativen Drehimpuls IDFeld2 mit dem positiven Drehimpuls des resultierenden Teilchens außerhalb der Heisenbergschen Unbestimmtheit IDIm sowie den negativen Drehimpuls der Ladung IDLadung wiederum mit dem positiven in der Unbestimmtheitszone liegenden Drehimpuls vergleichen. Bei getroster Vernachlässigung von EFeld1 erhalten wir nun für alle erdenklichen Werte der elektromagnetischen Kopplungskonstanten αEM immer,

was mit dem Erhaltungssatz des Drehimpulses und damit der Energie in quantenphysikalischer Hinsicht konsistent ist. Mehr noch: Beliebige zusätzlich ins Spiel gebrachte positive Potentiale und damit Drehimpulse I+ innerhalb des Heisenbergschen Potentialtopfes widersprechen einer Drehimpulssumme von Null in keiner Weise, da IDIm + I+ ebenfalls einen positiven unendlichen Betrag ergibt, was bezüglich unserer entropischen Potentiale auch im Weiteren die Konsistenz bewahrt.
Vermischen wir jetzt wieder positive und negative Energiepotentiale zu resultierenden Energieverläufen, bleibt, wenn auch nicht auf den ersten Blick, alles beim Alten, die Erhaltung der Drehimpulse gewahrt und was die Einführung der positiven entropischen Potentiale angeht, können wir diese ganz locker und entspannt in unsere „Viele-Potentiale-Betrachtung“ einfließen lassen.
Doch bevor wir dies machen, kommen wir erst einmal auf das resultierende Potential im Heisenbergschen Potentialtopf zurück, schauen uns dieses genauer an, und diskutieren deren Verlauf innerhalb der Systemenergiewerte m·c2 bzw. ½ m·c2 integriert über bestimmte Skalen R mit der Maßgabe der Interpretation definierter Systeme innerhalb ihres Potentialfeldes in Bezug auf Stabilität, Feldstärken und Ladungen. Ebenso in diesem Kontext muss der Effekt der Vakuumpolarisation durch das virtuelle Materie-/ Antimateriefeld EFeld2 und damit die energieabhängige Verminderung der elektromagnetischen Kopplungskonstanten αEM Beachtung finden.
Abbildung 20: Resultierendes Potential, Feldstärke und Ladung entropiefreier hadronischer Systeme h

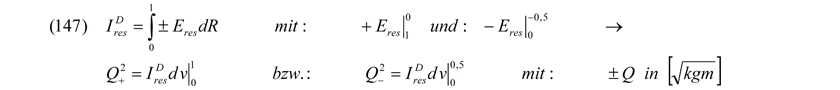
Die violett schraffierten Flächen in Abbildung 20 stellen die positiven und negativen Sequenzen der Drehimpulse IDres innerhalb des Heisenbergschen Potentialtopfes, begrenzt durch die Schnittpunkte der Energieresultierenden mit den jeweiligen Systemgrenzen (+ Bereich: m·c2, – Bereich: ½ m·c2), dar. Die Funktion der resultierenden Energie Eres = ½ R-2-R wird also innerhalb der Energiebereiche m·c2 von +1 bis –½ bis zur Unbestimmtheitsgrenze Rλ = ħ/m0c integriert, was nichts anderes darstellt, als dass man einen Drehimpuls ID durch die Geschwindigkeit v bis zur Lichtgeschwindigkeit c bzw. c/2 differenziert. Da der Quotient aus Drehimpuls und Geschwindigkeit innerhalb eines definierten Potentialfeldes der magnetischen Feldstärke bzw. eines quadratischen elektrischen Potentials des dazugehörigen Teilchens proportional ist, kann man auf die konkrete Ladungszusammensetzung eines innerhalb des Potentialtopfes durch die Starke Wechselwirkung gebundenen feldinduzierten Quantensystems schließen.

Rechnen wir zuerst einmal den theoretischen Q2-Wert oberhalb der Energie-Null-Linie aus. Dazu brauchen wir zum einen den Skalenwert bei einer Energie von +(m·c2),
![]()
zum anderen bei einer Energie von Null:
![]()
Integrieren des resultierenden Energiepotential Eres über die Grenzen R0 und R1 führt zum rein theoretischen Ladungspotential Q+. Wir erhalten:

Bezogen auf das dazugehörige Unbestimmtheitspotentialfeld von m·c2 ergibt sich ein Ladungsanteil von grob ⅓ mit einer Differenz zu Q2 von annähernd 0,0117 wie in Gleichung (150) zu sehen.
Nun zu den Q-Werten unterhalb der Energie-Null-Linie. Den Schnittpunkt mit dieser Linie haben wir mittels (149) ja schon berechnet. Fehlt noch der Skalenwert an der Stelle, wo die Resultierende die ½ m·c2 – Marke schneidet:
![]()
Wie zu erwarten erhält man einen Skalenwert von genau 1. Analog zu (150) errechnet sich nun bei Beachtung eines negativen Gesamtpotentials von ½ m·c2:

Die Wurzel des negativen Potentialanteils bezogen auf die die halbe Systemfläche, ergo die Ladung Q, beträgt in erster Näherung ⅓. Die durchschnittliche Abweichung ΔQ2 von der Quadratladung Q2 = 9-1 aus (150) und (152) ergibt einen Wert von ca. 6,34·10-3, was im groben Bereich der Feinstrukturkonstante αEM liegt. Setzt man diese nun als die exakte Toleranzgrenze für die Quadratladung an, erhalten wir für Q2 = 0,1038137586. Stellt sich diese Größe nun gleichzeitig sowohl im positiv als auch im negativ definierten Potentialfeld ein, erhält man eine Energieresonanz und damit ein äußerst stabiles gebundenes System. Es ergeben sich folgende Korrekturgrößen für die jeweiligen Integralflächen:

Das heißt, dass das negative Potential marginal verkleinert, während das positive Potential um annähernd den gleichen Betrag vergrößert werden müsste. Bewerkstelligt werden kann das nur, wenn der resultierende Graph der Energie in folgender Weise angehoben wird, dass dabei der Schnittpunkt auf der Nullkoordinaten schneller in Richtung der Potentialgrenze wandert, als jener auf der positiven m·c2-Koordinate. Und genau dies schafft in der geforderten Art und Weise das entropische Feldpotential EFeld1 gemäß Gleichung (136). Angewandt auf den entropischen Anteil der Ladungsgröße bedeutet dies:

Die folgende Abbildung soll diesen Effekt durch grobe Überzeichnung veranschaulichen.
Abbildung 21: Definiertes Potential, Feldstärke bzw. Ladung des entropiebedingten Systems down-Quark d

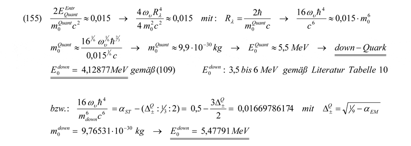
Da aus Gleichung (154) hervorgeht, dass der entropische Energieanteil bezogen auf die gravitativ induzierte Systemenergie von m·c2 ca. 1,4 bis 1,7 % beträgt, kann man aus dem Verhältnis des Einsteinschen Energieäquivalents zur Entropischen Energie die Masse bzw. Energie desjenigen Teilchens berechnen, bei welchem eine absolute Resonanz bzw. Stabilität innerhalb des Potentialtopffeldes besteht. Da ein jedes Vakuumfeld-Teilchen-System immer aus alternierenden Materie- und Antimaterieteilchen besteht, müssen im Folgenden wiederum alle Ruhemassen halbiert werden.

Die Auswertung resultierender Potentiale innerhalb der Heisenbergschen Potentialtöpfe hinsichtlich von Drehimpulsen und Ladungen unter Hinzuziehung des Wirkung entfaltenden entropischen Feldpotentials-Nr.1 ergibt bei Berücksichtigung der Feinstrukturkonstante αEM ein einziges resonant stabil gebundenes System, welches sowohl eine Drittel-Ladung aufweist, der Starken Wechselwirkung unterliegt, als auch eine Ruheenergie im Bereich zwischen 3,5 und 6 MeV besitzt. Dieses alleinig innerhalb seines Potentialtopfes stabile gebundene Einzelsystem ist demnach dem down-Quark zuzuordnen.
Das down-Quark d ist neben dem Elektron e und dem Elektronneutrino ϑe in Form von Materie sowie Antimaterie unteilbarer Grundbaustein unseres Universums.
Die Abbildungen 20 und 21 nehmen die Gleichung zur Berechnung der Ladung Q von Elementarteilchen T schon vorweg. Wie man leicht erkennen kann, ist die negative violett schraffierte Fläche F unter der Energieresultierenden Eres innerhalb der Heisenbergschen Unbestimmtheitszone ein vollständig begrenztes Intergral aus dem Produkt der potentiellen Energie ET des Teilchens mit der dazugehörigen Potentialtopfgröße R. Diese Fläche F ins Verhältnis gesetzt zur Fläche oberhalb der gestrichelten violetten Linie spiegelt exakt die quadratische Ladung QT des Elementarteilchens wieder. Der Betrag der negativen senkrechten Koordinate ist dabei eindeutig als die Wechselwirkungskonstante αST der Starken Kraft zu identifizieren. Nun setzt man voraus, dass Wechselwirkungskonstanten innerhalb ihrer Grenzen von Null bis Eins in linearer Abhängigkeit mit einer dem Feld zuzuschreibenden Geschwindigkeit vFeld von Null bei E = 0 bis zur Lichtgeschwindigkeit c bei E = m·c2 korrelieren. Da logischerweise der Betrag der waagerecht violett gestrichelten Linie gleich dem Betrag der Länge von E = 0 bis E = m·c2 entspricht, kann die dazugehörige Fläche auch als das Produkt aus Geschwindigkeit v und der Lichtgeschwindigkeit c betrachtet werden. Die Formel für den quadratischen Ladungsanteil von Elementarteilchen inklusive seiner physikalischen Einheit leitet sich dementsprechend folgendermaßen ab:

Dabei sind drei mögliche Grenzfälle zu betrachten. Den ersten haben wir ausführlich besprochen. Er betrifft die Drittel-Ladung des resonant stabilen down-Quarks.
Der zweite wäre der maximale Grenzfall, nämlich wenn sowohl die integrale Fläche als auch die Wahrscheinlichkeit der Starken Wechselwirkung genau Eins werden. Dann ergibt sich

wie auf der rechten Seite von (157) genau die Formel für die Planck-Ladung der angegebenen konventionellen Größe, was in unserem Falle im Gegensatz zur resonant stabilen Drittel-Ladung einer ganzen Ladung des Betrages Eins entspricht.
Der letzte Grenzfall ist der, wenn die Flächen F und c·vFeld über die Geschwindigkeiten gemeinsam zu Werten von Null divergieren, da sich dR immer äquivalent vFeld ·dt verhält, man zu einem Drehimpuls gelangt, welcher aus Gründen der quantenphysikalischen Unbestimmtheit im Symmetriefall zwar Null, niemals aber kleiner als der des Planckschen Wirkungsquantums werden kann. Man erhält,

wobei sich neben einer Null-Ladung wiederum die Planck-Ladung, also eine ganze Ladung einstellt.
Die Gleichungen (156), (157) und (158) und die Feststellungen über die Stabilität des down-Quarks lassen nur den einzigen möglichen Schluss zu:
Die alleinigen elementaren Teilchenladungen resonanter sowie maximaler und minimaler potentieller Feldwerte sind ausschließlich sowohl gedrittelte Ladungen, ganze Ladungen als auch Ladungslosigkeit.
Ladungen werden also vom down-Quark und dem Elektron getragen. Das Neutrino ist auf Grund seiner entropisch geprägten Symmetrie ladungslos. Das heißt, dass die ganze Ladung des Elektrons dadurch zustande kommt, dass entweder die Kopplungskonstante der Starken Kraft und Flächen gleich Eins werden (maximaler Grenzfall) bzw. Flächen und Kopplungskonstanten der Starken Wechselwirkung gegen Null (minimaler Grenzfall) konvergieren, die Ladungslosigkeit des Neutrinos dagegen nur im minimalen Grenzfall ihre Ursachen haben kann.
Da nun bekanntermaßen das Elektron und sein Neutrino nicht der Starken Kraft unterliegen, muss laut obiger Betrachtungsweise für beide der minimale Grenzfall gelten. Und dieser trifft auch hundertprozentig zu, denn mit kleiner werdenden Ruhemassen erhöht sich ja die entropische Energie EEntrFeld1 gemäß Gleichung (136) immer dominanter gegenüber der potentiellen Energie EpotFeld2 und der kinetischen Energie EkinIm und erreicht dann innerhalb der Heisenbergschen Potentiale ab einer bestimmten Skala nach Gleichung (134) den Wert m·c2, so dass sich die Gesamtresultierende aus dem negativen Potential des Feldes heraushebt. Beim Elektron sowie ganz extrem beim Elektronneutrino tritt genau dies ein. Beide tragen demnach nach Gleichung (158) eine ganze bzw. eine Null-Ladung.
Durch das Dominieren entropischer und kinetischer und damit dem Fehlen negativer Potentiale im Teilchenfeld entfällt dementsprechend das Wirken einer Starken Kraft komplett. Im Falle des Elektrons und des Elektronneutrinos handelt es sich aus genau diesen Gründen um ungebundene freie Teilchen, welche untereinander niemals „klumpen“ können.
Die Stabilität der Leptonen in ihren Energiespektren ergibt sich dabei aus der Erkenntnis, dass die Inertialsysteme Teilchenfeld und die Inertialsysteme Teilchen auch bezüglich Ruhemassen, Energien und Ladungen gemäß Formeln (124 bis 128) invariant sind. Sowohl beim Elektron als auch beim Neutrino passt dies im Rahmen der neu eingeführten invarianten Kopplungskonstanten αneu (128) gut zusammen. Das Massenspektrum des Neutrinos sollte im untersten Elektronenvolt-Bereich liegen, dort, wo das entropische Feldpotential Nr.2 gemäß Gleichung (136) seine asymmetrische Wirksamkeit bezüglich negativer Potentiale voll entfaltet und damit die Energieresultierende aus der Heisenbergschen Unbestimmtheitsgrenze gerade anfängt abknicken zu lassen.
Die nächste Abbildung soll uns das oben geschilderte noch einmal visuell, zur besseren Veranschaulichung nicht exakt maßstabsgetreu, verdeutlichen.
Abbildung 22: Definierte Potentiale der elementaren entropiebedingten Leptonensysteme e und ϑe

Es liegt nahe, wenn man die Abbildungen 21 und 22 betrachtet, dass sowohl das down-Quark als auch das Elektron und sein Neutrino angeregte Zustände derart aufweisen, als dass bei Energiezufuhr in den Grundzustand die Potentiale über die m·c2-Marke hinausgehen. Das Verhältnis der Radikale der Summen der Feldflächen S und F (aller Zustände, gemäß Standardmodell existieren drei davon) bis hin zur Skala des elektroschwachen Symmetriebruches, zu den Flächenradikalen der Grundzustände müsste damit das Maß für die addierten Energien der angeregten Zustände sein. Diese energiereichen Zustände (oder auch Mischungen) sind für das down-, das strange- und bottom-Quark, für das Elektron das Myon und das Tauon bzw. für das Elektronneutrino die entsprechenden zwei anderen Neutrinos.
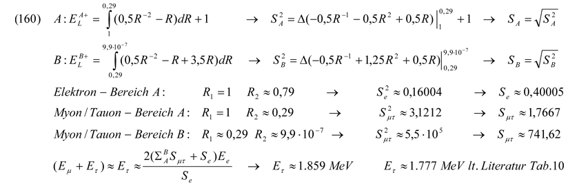
Schätzen wir als erstes das hadronische Energiespektrum EH des strange- s und des bottom-Quark b ab. Wir erhalten über die folgenden Formulierungen

eine maximale Energie für die angeregten Zustände des down-Quark einen Wert von 3.587 MeV, welcher wie oben zu sehen um ca. -15 % vom experimentellen Wert abweicht.
Eine ähnliche, wenn auch wegen des entropischen Potentials etwas kompliziertere, Prozedur wenden wir nun auch für das leptonische Energiespektrum EL des Myons μ und des Tauons τ an. Hier ist

der Wert von 1.859 MeV der angeregten Zustände des Myons und des Tauons bezüglich des experimentell ermittelten Wertes mit einem Fehler von nur +4 % behaftet.
Fehlt noch die grobe Abschätzung für die Gruppe der Neutrinos, der Kompliziertheit wegen ohne Berücksichtigung des Entropiepotentials Nr.2. Nehmen wir einmal an, dass das Elektronneutrino ϑe eine Ruhenergie von < 2 eV besitzt, erhält man für die angeregten Myonneutrino- ϑμ und Tauonneutrinozustände ϑτ nach dem gleichen Algorithmus wie bei Gleichung (160)

einen Wert kleiner 7 MeV.
Die Berechnungen untermauern unsere Betrachtungen, denn mit vergleichbaren Fehlerabweichungen decken sich unsere Werte in erster Näherung mit den experimentell ermittelten sowohl für Ladungen und Ruheenergien der Elementarteilchen als auch mit den ihrer energiereicheren Verwandten.
Es existieren also nur drei grundlegende Elementarteilchen und zwar mit Drittel-, ganzen bzw. Null-Ladungen neben ihren angeregten Zuständen des down-Quark, namentlich das strange-Quark und das bottom-Quark, des Elektrons, namentlich das Myon und das Tauon sowie des Elektron-Neutrinos, namentlich das Myon-Neutrino und das Tauon-Neutrino. Damit ist das Standardmodell, was die Fermionen betrifft aber noch nicht vollzählig, wird es aber sofort, wenn sich nämlich das up-Quark nebst wiederum seinen angeregten Zuständen, namentlich das charme-Quark und das top-Quark mit dann Zwei-Drittel-Ladungen aus den elementaren Hadronen sowie den Leptonen bilden.
Diese erlangten Erkenntnisse unterstreichen die Idee der im Kapitel 11 vorgeschlagenen Matrix für Symmetrieoperationen der Systeme Elektron, Neutrino, up-Quark und down-Quark. Bei der konkreten Diskussion der Starken und der Schwachen Kernkraft kommen wir darauf genauer zurück.
Lassen wir uns jedoch vorerst die eben geführte Diskussion am Beispiel der angeregten Zustände des elementaren down-Quark und des ebenfalls elementaren Elektrons anhand folgender Abbildung illustrieren.
Abbildung 23: Die angeregten Zustände s b und μ τ des down-Quarks bzw. des Elektrons

Kommen wir auf die als definitiv zu betrachtenden Drittel-, Ganzen und Null-Ladungen ruhemassebehafteter Elementarteilchen zurück. Wir haben schon an vorhergehender Stelle rein intuitiv angenommen, dass diese, durch das negative Restpotential im Heisenbergschen Potentialtopf induzierten, Ladungen elektromagnetischer Natur sind, gleichzeitig aber auch gesagt, dass es sich bei diesen Potentialen um die Ursache der Starken Kraft handelt. Ein Widerspruch? Nein, denn es wurde ja bereits mehrfach nachgewiesen, dass es sich im quantenphysikalischen Bereich bei allen Ladungen (Farb-, schwache-, und elektromagnetische Ladungen) sowie sonstigen Raumzeitkrümmungseffekten (Gravitationspotentiale) um invariante bzw. äquivalente Erscheinungen handelt, deren Symmetrie nur durch die innerhalb der invarianten Kopplungskonstanten αneu aus Gleichung (129) variierenden Wahrscheinlichkeitsanteile αST, αEM, αSW und αGR gebrochen werden können. Im eigentlichen negativen Teilchenfeld gibt es demnach nur zwei Möglichkeiten der Ladungsinterpretation. Einmal aus Sicht des Inertialsystems Feld: Das gravitativ (minimale) sowie das gravitativ kumulierte elektrische (maximale) Potential des zu ihm gehörigen Teilchens. Und einmal aus völlig äquivalenter Sicht des Teilchens: Die auf dieses einwirkende schwache Gravitationskraft sowie die starke magnetische Kraftwirkung des zu ihm gehörigen Feldes. Da wir den gravitativen Einfluss (GR) ab ca. 1017 GeV abwärts getrost vernachlässigen können, konzentrieren wir uns vorerst einmal auf die elektromagnetisch einheitliche Wechselwirkung (EW) innerhalb des Heisenbergschen Potentialtopfes, welche wie gleich zu sehen sowohl für die Starke (ST), die Schwache (SW) als auch für die herkömmliche Elektromagnetische Kraft (EM) herhalten wird.
Da wir die gravitative Wechselwirkung erst im Kapitel über das Kosmologische Standardmodell behandeln, rufen wir uns noch einmal ins Gedächtnis, welches Feld die Ursache der Starken Kraft ist. Als erstes muss man feststellen, dass Wechselwirkungen nur durch negative Potentiale hervorgerufen werden können. In der klassischen Physik ist das der Fakt der Gravitation und der weit reichenden elektromagnetischen Strahlung, deren Kräfte sich kontinuierlich mit dem inversen Quadrat der Entfernung verdünnen. Hat man allerdings im Verlauf der negativen Potentiale irgendwo wie auch immer geartete Minima, so reagieren Energie bzw. Masse in der Art und Weise darauf, dass sie nunmehr diskrete Energienniveaus einnehmen, in deren Skalen Wechselwirkungen bedeutend höhere Wahrscheinlichkeiten aufweisen als an anderen Stellen im Raum.
Die Ausformungen dieser Minima legen fest, in welcher Entfernung (Weite) und in welchem Sektor (Breite) die Wechselwirkungen höchstwahrscheinlich stattfinden und wie viel Energie (Tiefe) überwunden werden muss, um auf welcher Energieskala (Steilheit) auch immer wieder zu einem ungebundenen System im positiven Gesamtenergieanteil zu werden oder ob dies gar nicht möglich ist, weil das Potential so tief und steil ist, dass eine höhere Energie aufgewendet werden müsste als das gebundene System selbst darstellt und sich damit das gebundene System immer wieder kopiert bzw. zu einem völlig neuen energiereicheren System bzw. angeregten Zustand hochschaukelt. Doch warum sollten die Minima oder Potentialmulden in solch differenzierten Varianten vorliegen, um doch die gewaltigen Unterschiede der vier fundamentalen Kräfte zu rechtfertigen? Warum, wie schon weiter oben gefragt, trifft die Invarianzthese nicht auch für die einzelnen Wechselwirkungen zu? Warum hat jede der Grundkräfte Kopplungswahrscheinlichkeiten, Reichweiten und Energieabhängigkeiten, die sich wie bekannt, völlig diamental, gegensätzlich und widersprüchlich verhalten, wenn sie sich doch aus ein und der gleichen Urkraft generieren?
Das negative Feld 2 (siehe Gleichung 136) als Ergebnis der während der Heisenbergschen Unbestimmtheit aufkumulierten gravitativen Energie oszillierender virtueller Materie- und Antimaterieteilchen erzeugt ein maximales negatives Energiepotential E = m·c2. Bliebe es dabei, würden die dem Feld entsprechenden Teilchen wegen des spitzen Minimums am Potentialtopfrand mit einer Gesamtrate von 1 mit diesem Potentialfeld wechselwirken, um mit ebendieser hundertprozentigen Wahrscheinlichkeit, kräftemäßig nur um das inverse quadratische Abstandsgesetz vermindert, auch auf jeder anderen Skala zu agieren, da wie anzunehmen das Feld 2 seine Oszillationsenergie über wellenförmige Raumzeitkräuselungen abstrahlt. Diese Raumzeitwellen, welche als oszillierende Energie verstanden wiederum Raumzeitkräuselungen entstehen lassen, dadurch immer wieder mit sich selbst rückkoppeln, um sich so wechselseitig die Existenz zu sichern, sind nicht anderes als die elektromagnetischen Wellen, auf welche geladene Teilchen reagieren. Doch wie hinlänglich bekannt nur mit einer Wechselwirkungsrate αEM von 7,2973525376·10-3 und nicht mit 1. Warum?
Die Erklärung dafür liefert die allbekannte Vakuumpolarisation. Da das gravitativ negative Feld 2 das Ergebnis oszillierender virtueller Materie-/ Antimaterieteilchen einer Anzahl ist, welche skalenmäßig der Energie eines rotierenden schwarzen Loches entsprechen, müssen die dazugehörigen invarianten Inertialsysteme freier Teilchen mit diesen virtuellen Materie-/ Antimaterieteilchen räumlich und damit zeitlich wechselwirken. Nehmen wir einmal an, ein Teilchen mit einer Ladung von Q=1 befindet sich im Zentrum einer energetisch stabilen (räumlich hexagonal alternierenden) Anordnung virtueller positiver und negativer Teilchen des Heisenbergschen Vakuumpotentialfeldes, welche ebenfalls aus Invarianzgründen je eine Ladung von Q=1 aufweisen und dabei sowohl die virtuellen Teilchen als auch das durch das Feld 2 induzierte Elementarteilchen eine definierte Größe von n=1 (Planck-Größe) haben.
Dann ist leicht einzusehen, dass mit zunehmender radialer Entfernung (nm=nn-1+m: mit m von 0 bis ∞) vom Elementarteilchen durch die räumliche Abschirmung der Ladungen virtueller Teilchen die Ladung Q des Elementarteilchens um einen Faktor α verringert werden muss. Die energetisch günstigste hexagonal dreidimensionale Anordnung der virtuellen Ladungswolke bedingt, dass es ganz bestimmte Aufreihungen oszillierender Materie und Antimaterie mit alternierenden Bereichen ohne Ladung im Raum gibt, so dass man genau aus dieser optimalen Geometrie heraus eine mathematische Reihe für α konstruieren kann, welche mit zunehmender radialer Entfernung (nn-1+m) konvergiert und dessen Konvergenzbetrag mit der Feinstrukturkonstante αEM in Abhängigkeit vom Skalenfaktor Ʀ (also der Energie) mit einer sehr hohen Abberation identisch ist:

Da n=1 äquivalent der Planck-Größe ist, kann man die Energieabhängigkeit E(n) der elektromagnetischen Feinstrukturkonstante αEM über den Skalenfaktor Ʀ bezüglich der ebenfalls äquivalenten Compton-Wellenlänge λC folgendermaßen darstellen:

Nun können wir die elektromagnetische Konstante αEM in Abhängigkeit der Energie E(n) berechnen und interpretieren. Es sei ausdrücklich darauf hingewiesen, dass es sich bei der Stärke der Elektromagnetischen Wechselwirkung ausschließlich um die Reaktion freier Teilchen auf die jene Teilchen immerwährend umgebenden virtuellen Vakuumfelder handelt. Die mit abnehmender Energie bzw. größer werdenden Skalenparameter anfänglich sehr schnell abnehmende und dann über die gesamte Skala fast konstante Wechselwirkungsrate liegt also ganz allein im Abschirmungseffekt durch die virtuelle Materie-/ Antimateriewolke begründet. Weiterhin wird zu sehen sein, dass nur bei Energien im oberen Planck-Bereich sich die Elektromagnetische Kraft mit den anderen Fundamentalkräften nach und nach zu einer einheitlichen Kraft vereinigt.
Die Elektromagnetische Wechselwirkung ist somit nichts anderes, als das durch die Vakuumpolarisation stark verminderte quadratisch invers mit der Entfernung abnehmende Ladungspotential freier außerhalb der Heisenbergschen Unschärfe agierender Elementarteilchen. Weit außerhalb des Teilchen induzierenden Potentialtopfes entsteht somit ein diskret flaches Energieminimum, bei welchem die Ortsfunktion des Teilchens, wie zum Beispiel beim Elektron im Wasserstoff-System, die größte Aufenthaltswahrscheinlichkeit besitzt.
Die folgende Tabelle und Abbildung zeigen uns den energieabhängigen Effekt der Vakuumpolarisation auf freie Teilchen, da jene mit dem immer vorhandenen Vakuumfeld und damit mit den sie umgebenden virtuellen Materie-/Antimaterieteilchen wechselwirken.
Tabelle 11: Energieabhängigkeit der Elektromagnetischen Wechselwirkungsrate gemäß (162)

Abbildung 24: Abhängigkeit der elektromagnetischen Kopplungskonstanten von der Energie gemäß (162)

Durch die Annahme, dass alle Elementarteilchen Abmaße in Planck-Größe besitzen, sind somit auch wegen der Ganzzahligkeit von n alle Wechselwirkungskonstanten skaliert diskret. Ausgehend von der Tatsache der elektromagnetischen Ursächlichkeit bzw. der komplementären Invarianz der vier fundamentalen Kräfte, müssen sich also alle vier Wechselwirkungsraten an einer definierten Energiemarke schneiden, nämlich genau dort, wo n=2 ist, da ja der Fall n=1 die Vakuumpolarisation ausschließen würde, was natürlich nicht realistisch ist. Wie oben berechnet, ist dies bei ca. 4,4·1016 GeV mit einer Wechselwirkungsrate von ungefähr 0,028 der Fall. Diese Rate deckt sich sowohl mit der schon weiter oben berechneten allgemeinen Kopplungskonstanten nach Gleichung (131) als auch hinsichtlich supersymmetrischer Theorien von rund 0,027 ziemlich genau.
Im Skalenbereich von der Infraroten Strahlung bis zur Röntgenstrahlung ergeben sich laut empirischer Formel (162) elektromagnetische Kopplungskonstanten αEM zwischen A und B (siehe Tabelle 11), welche mit einer Fehlerquote von Null bis maximal einem Zehnmillionstel Prozent behaftet sind. Das heißt, dass die experimentellen Ergebnisse hinsichtlich der elektromagnetischen Kopplungskonstanten, welche ja letztendlich über die Wechselwirkungen von Elektronen (IR bis Ɣ-Strahlung) bestimmt worden sind, äußerst genau mit den hier nach (162) berechneten übereinstimmen.
Ebenfalls sehr konsistent mit den experimentellen und theoretischen Realitäten der Energieabhängigkeit von αEM stellt sich die über (162) ermittelte Kurve der Abbildung 24 in dem Zusammenhang dar, dass ab der laut dieser Theorie errechneten Energie des Elektroschwachen Symmetriebruches von ca. 505 GeV, der Graph der Kopplungskonstanten plötzlich sehr stark und fast hyperbolisch bis zur Vereinigungsenergie der maximalen Wechselwirkungswahrscheinlichkeiten ansteigt.
Drei von vier quantenphysikalischen Wechselwirkungsmechanismen sind somit bis dato eindeutig als spezielle Modifikationen einer allen Teilchenfelder-Teilchen-Systemen zu Grunde liegenden gleich dimensionierten Planck-Ladung beschrieben worden. Dabei stellten wir immer wieder fest, dass es unerheblich ist, ob wir nun von gravitativen oder elektromagnetischen Feldern bzw. von Massen oder Ladungen ausgingen. Alles scheint nur Konvention bzw. Betrachtungsweise verschiedener Inertialsysteme zu sein. Felder, Energie, Masse und Ladung sind zueinander vollkommen invariant, nämlich ganz bestimmte Wirkungen ein und derselben Ursache: Die wie oben beschriebene, durch gravitative, kinetische und entropische Effekte je nach quantenphysikalisch räumlicher Fixierung ganz individuell gekrümmte, diskrete Energieminima enthaltene, Raumzeit mit, bei Energien unterhalb der Planck-Skala, sowohl stark abweichenden Kopplungskonstanten als auch diametral verschiedenem Kopplungsverhalten.
a) Gravitation: Vom räumlich fixierten Heisenbergschen Potentialtopfrand abgestrahltes bis ins Unendliche wirkende minimale negative oszillierende Gravitationspotential, äquivalent freier Teilchen, in Wechselwirkung mit deren quantenphysikalischer Impulsenergie, wirksam erst bei Ladungsneutralisation von b), weil αGR ≈ 10-39 (143).
b) Elektromagnetismus: Vom räumlich fixierten Heisenbergschen Potentialtopfrand abgestrahltes bis ins Unendliche wirkende maximale negative oszillierende Gravitationspotential, äquivalent freier Teilchen, in Wechselwirkung mit deren quantenphysikalischer Impulsenergie, vermindert um den Polarisationseffekt des Vakuumfeldes laut c) mit αEM = 7,2973525376 · 10-3 (162).
c) Starke Kraft: Wechselwirkung der quantenphysikalischen Impuls-, entropischen und elektromagnetischen Energie ausschließlich hadronischer Fermionen-Systeme mit dem dynamischen Vakuum der im räumlich fixierten Heisenbergschen negativen Potentialtopf oszillierenden virtuellen Materie-Antimaterie-Teilchenfelder als stark gebundene Systeme mit αST ≈ 0,5 (129).
Nehmen wir doch auch gleich die Zusammenfassung für die vierte bis jetzt noch nicht diskutierende Fundamantalkraft vorweg:
d) Schwache Kraft: Wechselwirkung der quantenphysikalischen Impuls-, entropischen und elektromagnetischen Energie hadronisch-leptonischer und leptonisch-leptonischer Fermionen-Systeme mit dem dynamischen Vakuum der im räumlich fixierten Heisenbergschen negativen Potentialtopf oszillierenden virtuellen Materie-Antimaterie-Teilchenfelder als schwach gebundene Systeme mit αSW ≈ 10-5 (129).
Auf den ersten Blick könnte man also meinen, dass die Starke und die Schwache Kraft eng miteinander verwandt sind. Das stimmt allerdings nur bezüglich sekundärer Wechselwirkungen von Systemen im Heisenbergschen Potentialtopf bzw. an dessen unmittelbaren Potentialtopfrand (Tunneleffekte).
Was allerdings die Realität betrifft, so ist die Schwache Kraft viel, viel enger mit der elektromagnetischen Wechselwirkung liiert. Dies ist deshalb mehr als logisch, da es sich bei der Schwachen Kraft laut Definition d) um die Wechselwirkung von Hadronen mit Leptonen bzw. Leptonen untereinander handelt. Und da Leptonen wegen ihrer entropisch positiven Potentiale generell nicht der Starken Wechselwirkung unterliegen, gehorchen Hadronen-Leptonen- bzw. auch Leptonen-Leptonen-Systeme auch nicht dem Faktum der „Asymthodischen Gefangenschaft“, was heißt, dass sich gleich geladene Teilchensysteme generell abstoßen und somit immer freie Teilchen bleiben.
Zum anderen bedeutet dies aber auch, dass sich verschieden geladene Systeme anziehen und auf Grund ihrer unterschiedlichen Ruheenergien unter Aufsummierung der Einzelladungen in der Art und Weise partiell auslöschen, dass die dabei entstehenden Quanten den Heisenbergschen Potentialtopf als freie Bosonen mit Spin 1 verlassen können. Bis hierhin hat dies alles jedoch noch nichts mit einer eigenständigen Kraft zu tun. Es handelt sich vielmehr um nichts Weiteres als die elektromagnetische Wechselwirkung auf höherenergetischen Skalen. Laut d) sollen nun aber die so entstandenen Systeme aus unterschiedlich geladenen bzw. (wegen der schon ausführlich beschriebenen Invarianzen) aus Materie und Antimaterie bestehenden Systeme mit den immer vorhandenen Vakuumfeldern mit einer Wechselwirkungsrate von ca. 10-5 interagieren, welche ja wie bekannt ihrerseits wiederum Systeme oszillierender virtuellen Materie-/ Antimaterie-Teilchen sind. Und dies funktioniert wie hinlänglich bekannt eben ganz genau nur so, dass durch eine Quantenfluktuation in einem Vakuum-Leptonenfeld das Materie-Antimaterie-System sein ursprüngliches Lepton unter Wiederhergabe der Vakuumenergie freisetzt, während aus dem Vakuumfeld wiederum durch elektromagnetisch hochenergetische Prozesse ein Lepton aufgenommen wird.
Handelt es sich dabei um die gleiche Leptonenart, so wird der Wechselwirkungsmechanismus mit dem Vakuum-Leptonenfeld über die so genannten Z0-Bosonen bzw. Photonen ξ interpretiert, handelt es sich um verschiedene Leptonen, so stellen dies je nach Ladung die W+– bzw. W–-Bosonen dar. Und da sich dieser „Leptonentausch“ energetisch nur auf der Skala des vormals elektromagnetisch entstandenen Materie-Antimaterie-Systems ereignen kann, müssen die dem Wechselwirkungsmechanismus der Schwachen Kraft zugeordneten oben genannten Bosonen Ruhemassen mit Spin 1 besitzen, was ja auch zutrifft. Dies jedoch nur bis zur Energieskala des schon mehrmals im Rahmen dieser Theorie berechneten und diskutierten Elektroschwachen Symmetriebruches von ca. 505 GeV.
Denn es werden, wie ebenfalls in dieser Theorie weiter oben schon ausführlich beschrieben, aus Gründen der Speziellen Relativitätstheorie heraus ab dieser Grenze im ganzen Bereich der Planck-Skala alle virtuellen und realen Teilchen supersymmetrisch, so dass die an sich elektromagnetisch bedingte Schwache Wechselwirkung skalenmäßig nicht mehr von der reinen Elektromagnetischen Kraft interagierender symmetrischer ruhemassebehafteter Teilchen unterscheidbar ist. Ein Unterschied bleibt nur insofern, als dass das ruhemassefreie Photon ξ auch ohne Wechselwirkung mit dem Vakuumfeld entstehen kann, während die dann ebenfalls ruhemasselosen W+-, W–– und Z0-Bosonen dies immer noch tun.
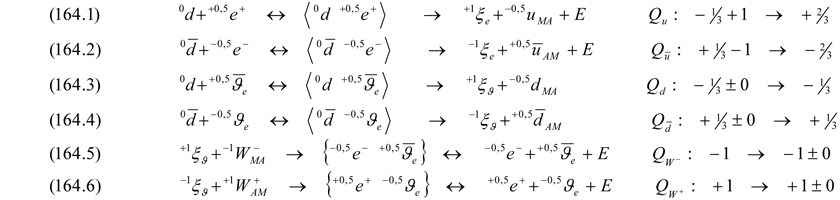
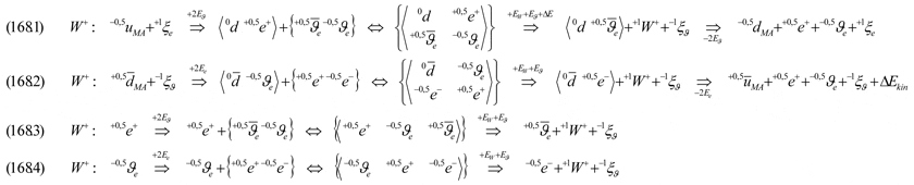
Wie sieht nun der Mechanismus der Schwachen Kraft im Einzelnen aus? Legt man, wie oben ausführlich hergeleitet, ausschließlich die drei elementaren ruhemassebehafteten Teilchen im stabilen Grundzustand, nämlich das down-Quark d, das Elektron e und das Elektronneutrino ϑe zugrunde, so kann es nur zu folgenden vier hadronisch-leptonischen sowie zwei leptonisch-leptonischen, energetisch in eine Richtung laufenden elektromagnetischen Wechselwirkungen unter partieller Materie-Antimaterie-Reaktion, aus den einzelnen Vakuumpotentialfeldern heraus kommen:

Bei den obigen Mechanismen muss allerdings unterstellt werden, dass aufgrund des vernachlässigbaren Entropieanteiles im positiven Gesamtdrehimpuls des elementaren Hadronen-Teilchenfeld-Teilchen-Systems das freie down-Quark d rotationssymmetrisch ist und damit einen Spin der Größe Null besitzt, während die elementaren Leptonen-Teilchenfeld-Teilchensysteme freie Elektronen e und Elektronenneutrinos ϑe besitzen, deren Spin wegen des gleichzeitigen Wirkens asymmetrischer Feldbeschleunigungsraten herkömmlicher und entropischer Drehimpulse einen hälftigen Betrag aufweist.
Nur so sind die Gleichungen (164) energetisch und hinsichtlich Spingrößen und –ausrichtungen (linke obige Indizes: Minus = linksdrehend, Plus = rechtsdrehend) konsistent. Da sich die Gleichungen (164) in ihrer Gänze völlig symmetrisch aus den Vakuumfeldern (T+T–) der drei elementaren Teilchen d, e und ϑe ergeben und Vakuumfelder immer durch virtuelle Materie-Antimaterie-Teilchen mit je entgegengesetzten Spin zu interpretieren sind, kann man ohne jeglichen Widerspruch per se festlegen, dass in Vakuumfeldern Antimaterieteilchen immer rechtsdrehend und Materieteilchen immer linksdrehend sind.
Bezüglich der Schwachen Wechselwirkung muss das deshalb zwingend bedeuten:
Die Schwache Kraft wechselwirkt immer nur mit linksdrehenden Materie- bzw. rechtsdrehenden Antimaterieteilchen.
Und da nun laut unserer Festlegung die virtuellen Materieteilchen in den Vakuumfeldern stets linksdrehend sind, sollten auch nur linkshändige Leptonen bzw. Quarks der Art qMA über die Schwache Wechselwirkung interagieren. Ansonsten können über Energiezufuhr alle linksdrehenden Teilchen einer Spinumkehr unterzogen werden. Ausgenommen davon ist das Neutrino, da es im Gegensatz zu allen anderen Elementarteilchen weder von der Starken noch von der Elektromagnetischen Kraft und fast gar nicht von der Gravitation beeinflussbar ist. Das ausschließlich alleinige Wechselwirken des Neutrinos mit der Schwachen Kraft, ergo mit oszillierenden Materie-Antimaterie-Vakuumfeldern, hat deshalb folgende Konsequenz:
Das Neutrino ist grundsätzlich links- und das Antineutrino grundsätzlich rechtshändig.
Die energetischen Richtungszuweisungen der partiellen Antimaterie-Materie-Reaktionen, also der Schwachen Wechselwirkung, werden sowohl durch die absoluten Ladungsdifferenzen ΔQabs als auch der Spindifferenzen ΔSpabs (wobei der Spindifferenz wegen ESp ~ ħ gegenüber EQ ~ αEM ħ immer eine höhere Priorität zukommt) der linken Gleichungsseite bezüglich der verbleibenden Elementarteilchen auf der rechten Seite ohne die aus dem System entweichenden Photonen ξ bestimmt, wie in (165) zu sehen:

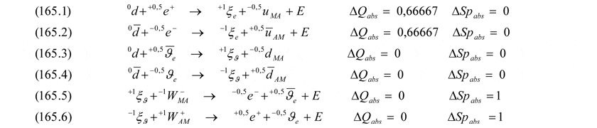
Es entsteht somit das up- bzw. down-Quark aus einem elementaren Spin 0 / Spin ½ – Materie-/ Antimaterie-Duplett (MA) bzw. das anti-up- bzw. anti-down-Quark aus einem ebenfalls elementaren Spin 0 / Spin ½ – Antimaterie-/ Materie-Duplett (AM). Aufgrund der Ladungsunterschiede der elementaren Ausgangsteilchen muss das resultierende Spin-½ up-Quark um ein vielfaches stabiler sein als die resultierende Spin-½-Form des elementaren down-Quarks. Allein darin sollte die in der Realität zu beobachtende freiwillige Umwandlung von down-Quarks in up-Quarks (β-Zerfall) im Proton-Neutron-(Nukleonen)-Verband der Post-Eisenkerne bzw. die im Bezug zum einzelnen Proton verschwindend kurze Lebensdauer eines freien Neutrons von ungefähr 15 Minuten begründet liegen.
Ebenso erklärbar scheint auch die Abschätzung einer großen Energie des W±-Bosons wegen der hohen Spindifferenz zu sein. Reaktionen der einzelnen Mechanismen gemäß (165) führen wie noch zu sehen zu der Interpretation des Z0-Bosons mit ebenfalls einer Spinndifferenz von Eins sowie des Photons ξ der Elektromagnetischen Wechselwirkung.
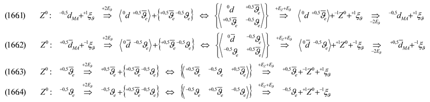
Der β-Zerfall und alle anderen möglichen „Leptonen-Austauschungen“ als eigentliche Ergebnisse der Elektroschwachen Wechselwirkung müssen daher unter Beachtung von (164) über mehrere Schritte (166-169) ablaufen. Dabei entstehen aus den resultierenden Spin-½-up- bzw. -down-Quarks quasi freie Elementarteilchen bzw. aus den elementaren Spin-½-Leptonen durch Wechselwirkung mit den leptonischen Vakuumfeldern komplexe Bindungen (eckige in geschweifter Klammer) an der Grenze der Heisenbergschen Unbestimmtheit, wobei hier Energiewerte mit einer Wechselwirkungsrate von 1 (also 0,5 bei zwei wechselwirkenden Teilchen) durch Quantenfluktuationen im Heisenbergschen Potential aufgebracht sowie nach Ablauf der Unbestimmtheitsphase wieder freigesetzt werden müssen. Dieser aus dem Vakuum kurzzeitig „geliehene“ Energiewert für die Generierung eines Z- bzw. W-Bosons muss sich dabei wie oben erläutert auf die Energieskala des Elektroschwachen Symmetriebruches beziehen, um für Teilchen mit Ruhemasse relevant zu sein. Im Wechselspiel mit den zwei elementaren Leptonen-Vakuumfeldern sind deshalb vier mal vier Grundmechanismen, äquivalent Z0-, W–– und W+-Bosonen, sowie der schon besagten Entsprechung als Photon ξ, möglich:




Die oben aufgeführten Schwachen Grundwechselmechanismen finden also wegen der schon beschriebenen engen Verwandtschaft mit der Elektromagnetischen Wechselwirkung nur mit Quarks der resultierenden Quarkstrukturen qMA statt. Reine Neutrinowechselwirkungen (166) erfolgen dabei über das massive Z0-Boson, während die ausschließlichen Mechanismen mittels Elektronen (169) nur den einen Schluss zulassen können, dass es sich hier um die altbekannte Elektromagnetische Wechselwirkung über das masselose Photon ξ handelt.
Die allgemeinen Elektroschwachen Wechselwirkungsmechanismen mit ihren vier möglichen Bosonen sollten also unterhalb einer Energie von 504,47914 GeV nach Gleichungen (31) bzw. (32) in den drei räumlich begrenzte Mechanismen mittels ruhemassebehafteter Bosonen Z0, W+ und W– sowie einem unendlich weit wirkendem Automatismus anhand masseloser Photonen ξ in die Schwache und die Elektromagnetische Wechselwirkung aufgespalten werden.
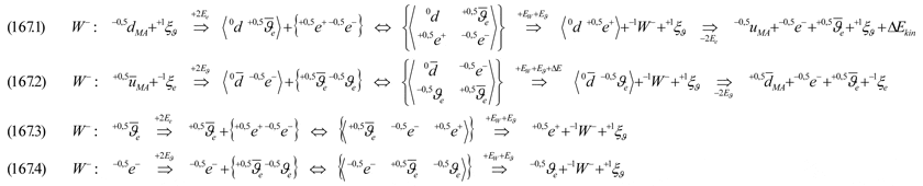
Bei einer Wechselwirkungsrate α von 0,5 der einzelnen virtuellen Materie-Antimaterie-Teilchen im Vakuumfeld des Heisenbergschen Potentialtopfes ergibt sich deshalb als durchschnittliche Energie bzw. Ruhemasse der Schwachen Wechselwirkungsteilchen ESW für jedes der drei ruhemassebehafteten Bosonen:

Bezogen auf die Literaturwerte gemäß Tabelle 10 und erst recht denen der empirisch berechneten Größen nach (120) und (121) erhalten wir damit eine sehr genaue Durchschnittsruheenergie:

Auch eine weitere Abschätzung der Rate der Schwachen Wechselwirkung sollte anhand der Gleichungen (166) bis (168) möglich sein. Da das Verhältnis der an den Mechanismen beteiligten Fermionen down-Quark, up-Quark, Elektron und Neutrino 2(d) : 1(u) : 1(e) : 2(ϑe) beträgt, kann über die durchschnittliche Bosonenruhemasse nach (171) und den Ruhemassen der Fermionen folgende gemittelte Kopplungskonstante αSW der Schwachen Kraft berechnet werden, welche mit der durch Gleichung (129) abgeleiteten durchaus vergleichbar ist:

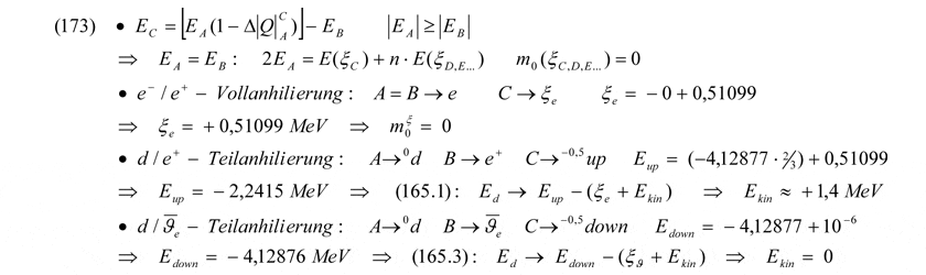
Und wenn man die Gleichungen (165.1) bis (165.4) zu Rate zieht, kann man nun sogar die Ruheenergien des resultierenden up- und down-Quarks mit Spin ½ berechnen, da wir ja sowohl über die Thesen der Invarianz von Ruhemassen und Ladungen beim Elektron (Spin ½) als auch der entropiebedingten Energieresonanz mit Drittelladung beim elementaren Spin-0-down-Quark deren Ruheenergien (in Harmonie mit experimentellen und berechneten Werten) bestimmen konnten. Analog der Anhilierung identischer Materie-Antimaterie-Teilchen A und B zu ruhemasselosen Quanten unter Beachtung der Ladungsdifferenzen ΔQ der sich ineinander umwandelnden Teilchen (im Sinne elektromagnetischer Wechselwirkungsraten α von Null bis Eins) ergeben sich folgende energetische Zusammenhänge für nach der Anhilierung verbleibende Spin-½-Teilchen C:

Alle anderen noch möglichen Varianten von Materie-Antimaterie-Wechselwirkungen werden von der schwachen Kraft mittels des massiven Z0– und W±-Bosons sowie der starken Kraft mit einer knapp fünfzigprozentigen Wechselwirkungsrate mittels Gluonen energetisch überlagert, wie in (174) zu sehen, und sind deshalb entgegen der obigen Deutung (173) keine Anhilierungen sondern Leptonenvertauschungen und Quark-Gluonen-Antiquark-Wechselwirkungen.

Und noch zwei Zustände aus den elementaren Teilchen sind grundsätzlich möglich, wie uns (175) zeigt. Nämlich zum einen die Quark-Quark- bzw. Antiquark-Antiquark-Gluon-Wechselwirkung über die Starken Kraft und zum anderen das lockere Quark-Neutrino- bzw. das Antiquark-Antineutrino-Duplett, welche aufgrund der fehlenden elektrischen Abstoßungskräfte zu mindestens als Bestandteil noch komplexerer energetisch begünstigter Elementarteilchenkonglomerate theoretisch durchaus realistisch sein sollten.

Lassen wir die obigen Diskussionen Revue passieren, bestehen lediglich folgende vierundzwanzig Möglichkeiten von rechts- und linkshändigen Sekundärelementarteilchen mit Spin ½ und Ruhemasse, wie schon mit der Matrize im Kapitel 11 angedeutet. Diese Sekundärteilchen stellen nichts anderes dar als die Quarks q des Standardmodells im Grundzustand. Da sich diese universellen Ausgangsteilchen aus den jeweiligen Vakuumteilchenfeldern wie oben beschrieben entwickeln, muss eine exakte Symmetrie von Materie und Antimaterie vorausgesetzt werden. Die quantenphysikalisch realisierbaren energetisch niedrigsten Grundbausteine unseres Universums neben den vier Varianten des Elektrons e und den zwei des Elektronneutrinos ϑe (da nur linkshändig) sind demnach:

Daraus können sich durch Gluonen-Wechselwirkungen ausschließlich nur folgende symmetrischen Materie-Antmaterie-Konglomerate entweder namens Mesonen aus zwei Sekundärteilchen

oder namens Baryonen aus drei Sekundärteilchen entwickeln:

Die aus der Theorie der Quantenchromodynamik (QCD) stammende Regel der stringent einzuhaltenden Farbneutralität, unter anderem auch, um so nicht das Pauli-Verbot zu verletzen – rot(antirot) + blau(antiblau) + grün(antigrün) = weiß bzw. Farbe + Antifarbe = weiß – ist in Wirklichkeit nichts anderes als die angestrebte Einhaltung der Materie-Antimaterie-Symmetrie als Ausdruck sowohl der energieeffizientesten Konglomeratbildung über die dann ebenfalls der Starken Wechselwirkung unterliegenden Gluonen als auch der energetisch anzustrebenden Ladungsneutralität besonders im Hinblick auf die These der Invarianz von Energie, Ladung und anderen Quantenzuständen.
Beim genaueren Betrachten der Baryonenvarianten muss die Materie-Antimaterie-Symmetrie zum Beispiel des Delta-Plus-Plus mit der nach (176.1) einzig möglichen Form uprotupblauupgrün wegen der „grünen Mischform“ gebrochen sein, was bedeuten würde, dass dessen Lebensdauer t äußerst gering sein sollte. Und dem ist bei den Baryonen im Grundzustand mit einem Gesamtdrehimpuls bzw. Spin in Summe von 1,5 durchaus so (t ≈ 6·10-22 s / Quelle: Baryons in the 2007 Review of Particle Physics in Journal of Physics G. 2006).
Was sind nun aber die stabilsten und damit langlebigsten Konglomerate aus den oben beschriebenen Sekundärteilchen? Folgende Agenda an Prioritäten sollten wir für den Fakt der universellen Stabilität der Konglomerate beachten:
a) Eine maximale Anzahl von Gluonen in den Hadronen.
b) Die strikte Einhaltung der Farbregeln der QCD für Quarks und Gluonen.
c) Es existieren keine blauen und grünen Mischformen.
d) Alle Sekundärteilchen befinden sich im Grundzustand.
e) Der möglichst niedrigste Gesamtdrehimpuls liegt vor.
f) Die Realisierung der Materie-Antimaterie-Symmetrie.
g) Die kleinste Ladung stellt sich in den Hadronen ein.
h) Die universelle Ladungsneutralität aus den Elementarteilchen-Vakuumfeldern bleibt gewahrt.
Wenn die Punkte a) bis h) die Stabilität der Konglomerate unter dem Gesichtspunkt eines Gesamtenergiegehaltes unseres Universums sowie der Vakuumenergie-Teilchenfelder von Null charakterisieren, so bleiben ausschließlich nur folgende zwei Formen für Baryonen und Leptonen mit Spin ½

sowie zwei Grundformen für Mesonen mit Spin 0 übrig

wobei nach obigen Überlegungen die Baryonen wegen der Summe Nq + Ng = 11 um ein vielfaches stabiler sein müssen als die Mesonen mit einer Summe Nq + Ng = 6, die damit auch bei hohen Energien sehr schnell zerfallen. Zur Berechnung der Ruhemassen der oben aufgeführten Mesonen und Baryonen soll die empirisch ermittelte Formel (181) dienen, welche zu mindestens beim Proton und Neutron äußerst genaue Ergebnisse liefert.
Das Bestreben des down-Quark, sich in ein up-Quark umzuwandeln, führt auch bei den relativ stabilen Mesonen der Form up-down dazu, dass diese sich zu der symmetrischen Variante entwickeln, die dann auch wieder recht zügig zerfällt. Völlig anders sieht dies bei den Baryonen aus, denn hier führt der Schwache Zerfallsprozess dazu, dass sich das relativ symmetrische freie Neutron in ein asymmetrisches Proton verwandelt. Und diese Asymmetrie in Verbindung mit den acht Gluonen im uud-Verbund führt zu dem Faktum einer fast unendlichen Lebensdauer. Eine unendliche Lebensdauer weisen als elementare Teilchen per se ebenso das Elektron und das Neutrino auf.

Die Formeln in (181) zeigen uns ganz deutlich, dass die Energetik der Hadronenbildung drei quantenphysikalischen Wechselwirkungen (die Gravitation mit αGR = 6·10-39 wird hierbei vernachlässigt) einschließlich des Wirkens entropischer Potentiale bedingt (αSW ≈ 2,2·10-5 aus W± und Z0, αST + αSW = 0,5 aus dem negativen Heisenbergschen Potentialrand, αEM = 7,29735·10-3 wegen der Energieresonanz im ganzen down-Potentialtopf sowie αd = 0,4833 aus dem Zusammenhang der entropischen Energie mit ωʋ = 5,31221·109 kg2m-2s-2). Fehlt von den vier relevanten Alpha-Werten auch nur ein einziger, so funktioniert das ganze Gebilde der Materieentstehung unseres Universums nicht mehr. Die bis dato noch ausstehende Begründung sowohl der Entstehung träger Massen, der Massenspektren der Elementarteilchen als auch der Ladungsneutralität sowie des Herrschens stabiler Materie sollte sich quasi erst durch einen fünften, entropisch vermittelten, Mechanismus mit der Konstante αd erledigt haben.
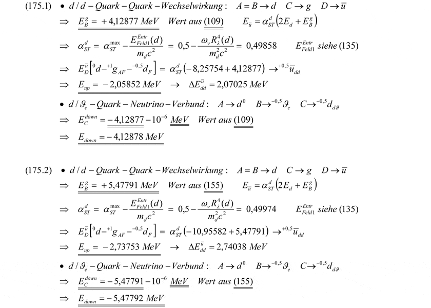
Noch genauere diesbezüglich zu berechnende Hadronenwerte ergeben sich aus den auf unsere neue Theorie basierenden obigen Formulierungen (155) und (175.2):

Für die Lebensdauer von Hadronen H mit niedrigstem Spin und kleinstmöglichster Ladung sollte es, wie schon oben angedeutet, einen empirischen Zusammenhang mit der Gluonen- und der Quarkzahl sowie auch über das Verhältnis der Leptonenflavours geben. Ein ebenso ausschlaggebender Grundparameter in der Formulierung (182) sollte die Ruhemasse des Elektronenneutrinos als energieärmstes und damit nur von der Schwachen Kraft beeinflussbares Elementarteilchen sein, welches dann allerdings in der Realität eine statische Energie von etwa 0,35 eV besitzen müsste.

Nun kann sich das Neutron über die Schwache Wechselwirkung aus den schon beschriebenen Gesetzmäßigkeiten heraus sozusagen freiwillig in ein Proton umwandeln. Im materiellen Verbänden allerdings ist es aus den bekannten atomphysikalischen Erwägungen heraus zur Stabilität komplexer aufgebauter Materie unabdinglich, so dass damit das Neutron im Falle des am stabilsten Kerns des Eisens ebenso wie das Proton eine quasi unendliche Lebensdauer aufweist.
Unser Universum wurde demnach im Verlaufe seiner inflationären Entwicklung von Protonen, Elektronen und Antineutrinos im gleichen Verhältnis mit einem bestimmten Anteil an Neutronen ausgefüllt, deren unterschiedliche Eigenschaften bezüglich der physikalischen Wechselwirkungen in einer späteren Epoche zu Inhomogenitäten ihrer Verteilung (plus Neutralisierung der Protonen und damit Klumpung der Baryonen durch die Gravitationskraft mit dem Ergebnis des Einsetzen der Starken und Schwachen Wechselwirkungen) über die Kernfusion zu den kosmischen Strukturen geführt hat, so wie wir sie kennen.
Die globale Symmetrie der Materieentstehung aus den einzelnen elementaren Vakuum-Teilchenfeldern heraus, der Fakt der ineinander Umwandelbarkeit von Proton und Neutron sowie die Materie-Antimaterie-Symmetrie der Sekundärteilchenkonglomerate zusammen mit den beiden Leptonen beantwortet uns sofort die Frage sowohl der universellen Ladungsneutralität als auch die nach dem angeblichen Fehlen der Antimaterie im Universum:
Unter Materie im konventionellen Sinne versteht man die exakte globale Symmetrie von realer Materie und realer Antimaterie, ergo der drei realen Elementarteilchensysteme Down-Antidown, Elektron-Positron und Neutrino-Antineutrino im universell gravitativ, schwach, elektromagnetisch sowie stark wechselwirkenden Proton-Neutron-Elektron-Antineutrino-Gleichgewicht.
In den letzten Kapiteln sollte nachgewiesen werden, dass unser stabiles Universum aus den drei elementaren Grundbausteinen down-Quark mit ca. 5 MeV, Elektron mit ca. 0,5 MeV und Elektronneutrino mit ca. 0,3 eV zusammengesetzt ist und sich im Kontext höherenergetischer Zustände mittels der bosonischen starken, schwachen und elektromagnetischen Kraft in ihrer gesamten uns bekannten Komplexität und Formenvielfalt hinsichtlich experimentell untersuchter Bosonen, Leptonen, Fermionen, Mesonen und Hadronen darstellt. Triebfeder dabei ist die bei einer Grenzenergie von ca. 1016 GeV einheitliche Urkraft einer Rate von etwa 0,03 auf der Basis elektrischer Anziehungskräfte bzw. einer in ihrer Gesamtheit symmetrischen Materie-Antimaterie-Wechselwirkung, was zum einen sowohl die Ladungsneutralität als auch das Fehlen der „Konventionellen Antimaterie“ erklärt.
Diese Urkraft spaltete sich im Verlaufe zu kleiner werdenden Energien allmählich auf, um dann am Elektroschwachen Symmetriebruch von ca. 505 GeV die berechneten Werte anzunehmen. Der Elektromagnetismus wechselwirkt ab hier mit einer Wahrscheinlichkeit im Hundertstel-Bereich. Die Starke Kraft hat an dieser Grenze eine Wechselwirkungsrate von 0,5 abzüglich der Rate der Schwachen Kraft im Hunderttausendstelbereich, wobei letztere nur bis Energien im knapp dreistelligen Gigaelektronenvolt-Bereich wirkt. Außerdem wird die Starke Wechselwirkung im Verlaufe zu größeren Potentialskalen immer mehr von der entropisch wirkenden Kraft gedämpft, sodass die Kernkraft für das Elektron und Elektronenneutrino überhaupt nicht mehr wirksam wird. Da die unserer Theorie zugrunde liegenden entropischen Potentiale ebenfalls die Grenze des so genannten Elektroschwachen Symmetriebruches festlegen, sollte die „Theorie der entropisch determinierten Quantengravitation“ die eigentliche Voraussetzung für das Wirken der Schwachen und der Starken Kraft sein, die ja wiederum erst die essentiellen Grundlagen für die elementare Mannigfaltigkeit unserer Materie darstellen.
Aufgrund des beschränkten Wirkens dieser Kräfte bis maximal 10-18 bzw. 10-14 Meter haben jene jedoch keinen Einfluss auf die Bewegungsgesetze im kosmischen Bereich. Wegen der integralen Ladungsneutralität kann kosmologisch gesehen auch der bis ins Unendliche reichende Elektromagnetismus nichts ausrichten, so dass nun, trotz ihrer im Vergleich zu den anderen Kräften verschwindend geringen Wechselwirkungsrate, die Gravitation ins Spiel kommt und wir so gut wie schon im letzten Kapitel angelangt sind, dort wo nun endlich die quantenphysikalische Zusammenhänge eine gravitative Entsprechung bekommen, dort wo sich nun endlich der Widerspruch zwischen Gravitation und Quantenphysik ein für alle Male auflösen sollte.
Doch vorher möchte ich noch einmal auf die Tabelle B verweisen, in welcher die Konsequenzen der entropisch wirkenden Potentiale im Zusammenspiel mit den gravitativ und quantenphysikalisch wirksamen Mechanismen als Übersicht aufgelistet sind und aus dessen Dreierbeziehung heraus sich erst Gluonen, W- und Z-Bosonen sowie Photonen und Gravitonen erklären. Denn wie weiter oben beschrieben haben alle Energiespektren innerhalb der mit Ruhemasse ausgestatteten Elementarteilchen und deren quantenphysikalischen Konglomerate ihre wertmäßig äquivalente Entsprechung in den Energiebereichen, in welchen auf Grund der Symmetrie von Ladungs-, Impuls-, und entweder Gravitations- oder Entropiepotentialen nur freie Teilchen auftreten, die sich ausschließlich ruhemasselos, also mit Lichtgeschwindigkeit, durch Raum und Zeit bewegen können. So zeigt also die „Theorie der entropisch determinierten Quantengravitation“, nicht nur die Wechselwirkungsmechanismen mit der ruhemassebehafteten Materie sondern auch das reale Auftreten der dafür notwendigen bosonischen Teilchen, sowohl der acht Gluonen, der zwei W- und des Z-Teichens, als auch das in allen zulässigen Energieniveaus wirkende Photon und Graviton. >>>zurück zur Auswahl<<<
>>> zum nächsten Kapitel (Entropiefeld und Kosmologisches Standardmodell) >>>
