1. Einführung
2. Gravitation, Entropiekraft und Raumzeit
3. Entropiekonstante des kosmischen Universums
4. Dunkle Energie und Dunkle Materie
5. Beschleunigte Expansion des Universums
6. Grenzwerte im Mikrokosmos
7. Betrachtungen im übergreifenden Universum
8. Entropiekraft und Dunkle Materie in kosmischen Systemen
9. Quantenphysikalische Gravitations-, Entropie- und Energiefelder
10. Bosonen, Fermionen und das Gravitationsentropiefeld
11. Massen, Ladungen und Energien von Elementarteilchen
12. Quantenmechanische Vermittlung der vier Fundamentalkräfte
13. Entropiefeld und Kosmologisches Standardmodell
14. PDF Download / Tabellen A und B
13. Entropiefeld und Kosmologisches Standardmodell
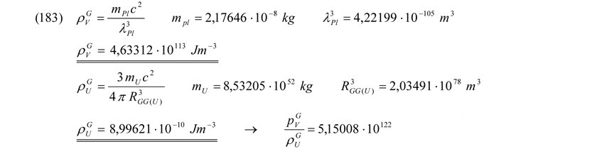
Die Gesamtenergiedichte ρV des Vakuums sowie des Universums ρU errechnen sich nach quantenphysikalisch-gravitativen Gesichtspunkten wie folgt:

Hier passt hinten und vorne nichts zusammen! Der größte aller Widersprüche zwischen Quanten- und kosmischer Physik macht sich manifest und klafft als Fehler von sagenhaften 122 Einheiten als Potenz! So kann niemals ein Universum aus seinem quantenphysikalischen fixen Ursprung heraus expandiert sein! Auch eine mathematische Lösung durch Feinjustierung mittels Korrekturfaktoren verbessert das Dilemma nicht. Warum sollte sich das Universum veranlasst sehen, einer großen Kugel gleich, immerwährend auf einer unvorstellbar langen Stecknadel zu stehen ohne dass das Konstrukt in sich zusammenfällt? Oder anders: Wer sollte bzw. warum sollten sich solch fast unendlich feinen Anfangsbedingungen einstellen, um die nachweislich stattgefundene Expansion des Universums als quantenphysikalisches Objekt aus einer Energiedichte von 10113 Jm-3 des Vakuumfeldes heraus zu rechtfertigen? Doch es gibt eine Möglichkeit: Die aber lassen sowohl die herkömmliche Gravitationstheorie als auch die Quantenphysik so nicht zu. Woher sollen aber dann die wahnsinnig hohen negativen Gegendrücke herkommen, damit jenes unvorstellbar stark gebundene quantenphysikalische Vakuumsystem frei werden und expandieren konnte? Hat unsere neue Theorie dafür einen Joker im Ärmel?
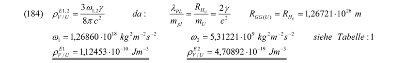
Ziehen wir dazu die gleiche Betrachtungsweise wie in (183) mit den Formulierungen zu Rate, welche sich ausschließlich aus den Grundformeln entropischer Potentiale ableiten:

Unter Anwendung des Postulates 3 sind die Entropischen Energiedichten in Abhängigkeit der beiden Konstanten ω sowohl auf variablen quantenphysikalischen V als auch kosmischen Skalen U immer gleich. Für ω1 beträgt diese exakt ein Achtel der kosmischen Deutung (183). So oder so haben wir aber nach wie vor immer noch positive Energiedichten ohne jegliche Veranlassung zusätzliche negative Drücke in die Formel, ähnlich eines Higgs-Feldes, hineinzukonstruieren. Oder sollten wir doch gezwungen sein, dies zu tun? Sind wir nicht, wenn die positiven Energiedichten auch zu positiven Beschleunigungen führen und so quasi negativen Drücken entsprechen. Im Falle des negativen gravitativen Beschleunigungspotentials funktioniert dies logischerweise nie und nimmer. Aber im Sinne unserer als positiv postulierten Entropiekraft sollte es klappen.
Und ist diese positive Beschleunigungswirkung gegenüber der negativen Beschleunigung des Vakuumfeldes auch noch so gering, eine Gegenbeschleunigung wäre als erstes einmal da. Deshalb also gehen wir gleich den einen maßgeblichen Schritt weiter, ausgehend von der modifizierten quantenphysikalischen Form der Entropiekraft mit ω2 als dessen Entsprechung, dem zeitlich variablen Skalenparameter RU als Maß für die positive Beschleunigungswirkung aV auf das expandierende Universum U und einen erlaubten durch eine Fluktuation zeitlich differentiell konstanten Energiewert mfluk als die entscheidende Anfangsbedingung für das Falsche Vakuum fV innerhalb der während der Heisenbergschen Unbestimmtheitszeit t konstanten Energiedichte ρfV:

Als erstes berechnen wir das konkrete quantenphysikalische Äquivalent gemäß Gleichung (185). Wir wissen, dass eine Mindestfluktuationsenergie aufgebracht werden muss, die die positive Vakuumdichte kompensiert, um plötzlich ein freies und deshalb, wegen der e-Funktion, der inflationären Expansion zugängliches System zu schaffen. Wie das genau vor dem Hintergrund des Energieerhaltungssatzes geschehen soll, wird sofort aus den folgenden Gleichungen (186) ersichtlich sein. Dabei wurde für den Beginn der positiv beschleunigenden Fluktuation, des so genannten Urknalls, von einem vorerst als nicht rotierendes Schwarzes Loch zu charakterisierendem Objekt mQuant ausgegangen, dessen quantenphysikalische Skala R0 mit dem Gleichgewicht RGG bezüglich entropischer und gravitativer Potentiale des Elektronenneutrinos ϑe übereinstimmt. Diese rein hypothetische Manipulation könnte durchaus Sinn machen, besetzt doch das sehr niedrige Masseäquivalent des Elementarteilchens Elektronenneutrino das energetisch höchste entropisch-gravitative Gleichgewichtsniveau auf der Planckskala RPlanck. Vakuumfluktuationen im dominierenden gravitativ-negativen Potential könnten somit auch ohne negative Drücke von RPlanck wegen des diskreten Energieminimums bei RGG zum Ausgangsobjekt mRo des Urknalls führen.

Folgende Interpretation der Entstehung unseres Universums lassen die Zusammenhänge aus (186) zu: Während der Heisenbergschen Unbestimmtheit von 0 bis etwa 5·10-44 Sekunden eines virtuellen Planckteilchen-Planckantiteilchensystems der Energie von ca. ±1019 GeV gelangte jenes durch eine extrem selten auftretende Vakuumfluktuation bis nach etwa 10-34 Sekunden in einen metastabilen entropisch-gravitativen Gleichgewichtszustand RGG eines adäquaten Quantenobjekts mRo der Energie von ca. +7·1027 GeV, aus welchen es bei normalen Umständen innerhalb dieses Zeitrahmens unter relativistisch bedingter Rückgabe der Fluktuationsenergie wieder in das Planck-Vakuum zurückfallen würde. Doch während dieser Zeitspanne erzeugte eine weitere sehr starke Zufallsfluktuation, die gut und gerne auch nur aller 1096 Jahre auftritt, letztendlich einen negativen Druck durch ein sich aufbauendes positives entropisches Potential über ein so genanntes Falsches Vakuum einer Bilanzenergiedichte von etwas mehr als 4·1094 Jm-3.
Diese gewaltige kompakte positive Energie führte dazu, dass sich der Raum innerhalb von nur etwa 8·10-33 Sekunden bis zu Erreichen des Hubble-Radius RHo um das gut 6·1051-fache ausdehnte: Der Urknall! Summa summarum wurde also während dieser inflationären Expansion fast augenblicklich die positive Energie des Falschen Vakuums von ca. 2·1079 GeV als kinetische Energie baryonischer Materieteilchen gespeichert, welche durch den Elektroschwachen Symmetriebruch, wie weiter oben detailliert beschrieben, entstanden sind. Im Kapitel 3 haben wir ausführlich das gravitative negative Potential unseres Universums für den Hubble-Radius RHo über dessen Masse gemäß (12) ausgerechnet. Die Energie dieses Feldes stimmte nun bei RHo betragsmäßig exakt mit der aufgewendeten Falschen Vakuumenergie des positiven entropischen Potentials überein, so dass bezüglich der inflationären Expansionsphase das Energieerhaltungsgesetz in der Hinsicht gewahrt blieb, als dass die aus dem Vakuum sekundär geschöpfte positive Fluktuationsbilanzenergie nach Ablauf der Heisenbergschen Unbestimmtheit durch die negative Gravitationsenergie exakt zurückgegeben wurde.
Die Energie des Falschen Vakuums war damit endgültig verpufft, die beschleunigte Expansion hörte auf. Das Universum schlitterte auf dem Grat zwischen gebundenen und freien quantenphysikalischem System als inflationär expandierendes Schwarzes Loch bis zum Hubble-Radius, dem vermeintlichen Erreichen der kritischen Dichte, wie ebenfalls ausführlich im Kapitel 3 diskutiert. Da hier nun die konstante Energie des Falschen Vakuums durch die Kompensationswirkung der gravitativen Materie aufgebraucht war, wirkte nach den besagten 8·10-33 Sekunden Unbestimmtheit inflationärer Expansion nur noch die anziehende gravitative Materie sowie die dagegen stehende Summe der Bewegungsimpulse relativistischer Ruhe- und konventioneller Bewegungsenergie im nunmehr über 1078 Kubikmeter großen Universum. Die Frage wird jetzt nur noch sein, inwieweit es noch einen minimalen Rest- bzw. Fehlimpuls gab, ob die Kritische Dichte überschritten oder gar verfehlt wurde. Denn davon hängt entscheidend ab, dehnt sich nun das Universum immerwährend aus, kollabiert es wieder oder stellt sich gar der mathematische Idealfall ein, dass es unendlich lange bis zu einer bestimmten Größe konvergiert.
Wir sind nun unweigerlich wieder beim Kapitel 5 angelangt. Hier schon schließt sich der Kreis. Denn wie dort erörtert und berechnet, wirkt das stetige positive Potential der entropischen Energie, gleichsam eines negativen Druckes, immerwährend im Universum weiter, so dass es sich beginnend vor ca. 7 Mrd. Jahren sogar beschleunigt ausgedehnt hat.
Doch bevor wir diese Eigenschaft unseres Universums in diesem letzten Kapitel quantenphysikalisch-gravitativ abrunden und damit die Beschreibung der „Theorie der entropisch determinierten Quantengravitation“ abschließen, beschäftigen wir uns noch kurz mit dem Entstehen des Falschen Vakuums sowie des entropischen Potentials und stellen endgültig fest, dass unsere neu eingeführte allgemeine Formulierung der Entropischen Kraft die Quantenphysik und die gravitative Kosmologie vereint, was dadurch zum Ausdruck kommt, dass man auf direkten mathematischen Wege zur, mit einem quasi Higgs-Feld modifizierten, Form des Einsteinschen Bewegungsgesetzes gelangt.
Kurz noch mal zum Urobjekt mRo, welches sich ja rein hypothetisch über das entropisch-gravitative Gleichgewicht bezüglich eines Elektronenneutrinos energetisch ergeben hatte. Setzen wir voraus, dass dieses Uruniversum wiederum aus Teilchen aufgebaut ist und die minimalen Abmaße jener Teilchen durch das Planck-Maß LPlanck gegeben sind, so lässt sich über das Volumen die Masse m der Einzelteilchen T abschätzen. Die Planckteilchen im Urobjekt entsprechen nämlich ohne Korrekturfaktor in erster Näherung bei einem Fehler von ca. 5 % der Energie eines Protons bzw. Neutrons. Auch die Gesamtenergie in GeV des Universums geteilt durch die Anzahl ZT dieser theoretischen Protonen mit je einer Energie von ca. 1 GeV ergibt ziemlich genau die Ausdehnungsrate der inflationären Expansion aus (186) mit ebenfalls einem Fehler von rund 5 %. Ein Zufall? Oder hat das Energie-Raumverhältnis der Planck-Skala des Uruniversums irgendetwas mit der Energie der Protonen (Neutronen) zu tun wie (187) impliziert oder doch mit der entropisch-gravitativen Skalengrenze der Elektronneutrinomasse wie in (186) angenommen? Oder gar mit beiden, wenn man, wie gleich diskutiert wird, eine konkrete Primärfluktuationsenergie ins Spiel bringt und damit die Protonenenergie exakt anpasst?

Nun kommen wir zu den sekundären entropisch-fluktuativen Ereignissen als die bestimmende Ursache der inflationären Expansion. Wie schon in (185) hergeleitet hat die entropische Energiedichte des falschen Vakuums, welche aufgrund der positiven Beschleunigung quasi wie ein negativer Druck wirkt, eine ganz besondere mathematische Struktur, aus welcher entscheidende quantenphysikalische Konsequenzen für das oben genannte Quantenobjekt mRo als unmittelbare Vorstufe des Urknalls erwachsen. Wie in den Herleitungen (188) und aus der Abbildung 25 ersichtlich, sollte die Charakteristik der Verteilung des entropisch-negativen Druckes im Uruniversum nicht nur für die inflationäre Ausdehnungsphase sondern auch für die Entstehung der kosmischer Grundstrukturen bis zum Erreichen des Hubble-Radius RHo und darüber hinaus ausschlaggebend sein.
Wir gehen dabei davon aus, dass eine während der Heisenbergschen Unbestimmtheit immer mögliche, wenn auch sehr unwahrscheinliche, quantenphysikalisch-gravitativ bedingte Energieschwankung (Primärfluktuation) von knapp 7·1027 GeV (siehe 187) dermaßen große positive Drücke initiiert hatte, welche eine bestimmte Menge der kugelsymmetrisch verteilten Energie des nicht rotierenden (7·1027 GeV / 2·10-26 m) – Uruniversums in das energetisch höher liegende System eines in Bezug zum idealen Kugelraum flacheren rotierenden Schwarzen Loches drängte, dessen aufgezwungene Rotationen (adäquat negativer Drücke des quantenphysikalischen Bewegungsimpulses bezüglich der dafür aufzuwendenden positiven Drücke für die Energiekomprimierung) bis hin zur Grenzgeschwindigkeit c die Energieverteilung im Urraum extrem heterogen zugunsten eines immer flacheren und kompakteren Diskus einer Energiedichte von etwa 10101 Jm-3 ausprägte sowie sich durch ERotation + EKomprimierung = 0 immer weiter hochschaukeln konnte.
Das gesamte Uruniversum mit seiner ganzen Energie war aber bis dato jederzeit ein zusammenhängendes System, nämlich das eines extrem stark gebundenen Systems eines rotierenden Schwarzen Loches mit einer hinsichtlich zum Kugelvolumen und dessen Restenergie immer noch realen Energiedichte von ungefähr 4·1094 Jm-3. Ab einer verbleibenden hinreichend dünnen Energieverteilung jedoch von ca. 8·10-16 Jm-3 in den beiden Kugelhalbschalen war plötzlich der nun aufkommende entropisch bedingte negative Druck (Sekundärfluktuation) so unheimlich groß geworden, dass die Gesamtenergiedichte des Uruniversums von annähernd 4·1094 Jm-3 plus der Energie der Primärfluktuation kompensiert werden konnte und dadurch augenblicklich ein freies inflationär expandierendes Universum nach (186) geschaffen wurde, welches am Hubble-Radius angelangt jetzt wiederum die Charakteristik eines nicht rotierenden Schwarzen Loches annahm.
Die beschriebene gravitativ bedingte Primärfluktuation positiven Druckes der Energiedichte von ca. 3·1094 Jm-3 wurde also zeitlich anschließend in einen betragsmäßig größeren entropisch induzierten negativen Druck von annähernd 7·1094 Jm-3 umgewandelt, welcher sowohl die Primärfluktuation durch Energierückgabe an das Vakuum als auch die Energiedichte des Uruniversums schlagartig kompensierte. Die dabei innerhalb von nur ca. 10-32 Sekunden realisierte Ausdehnung von gut 3·10-77 Kubikmeter auf über 8·1078 Kubikmeter (!) und der dabei global gesehen isotrop-symmetrische Energieverteilung im Universum sollten sich bei wiederum unterstellter proportionaler Ausdehnungsrate auch des ursprünglichen Diskus gravitative in alle Raumrichtungen verteilte Systeme ausbilden können, dessen größten Querschnitte den durchschnittlichen Dicken der Galaxien unseres Universum entsprechen müssten.
Die quasi aus dem Nichts gewonnene Bilanzenergie für den entropisch-negativen Druck von ca. 4·1094 Jm-3 musste also wie oben beschrieben wegen des Postulates der Energieerhaltung als Energie, ergo positiver Drücke, gravitativ wirksamer Systeme (Supergalaxienhaufen, Galaxienhaufen, Galaxien, Sternen- und Planetensystem) zurückgegeben werden. Alle diese Überlegungen einfließen lassend, führen uns schlussendlich zu folgenden Formulierungen und Vorstellungen über die Struktur unseres Uruniversums vor und während des Urknalls:

Abbildung 25: Gravitationskeime durch Asymmetrien des Universums während der inflationären Expansion

Die gravitative Energiedichte eines Urraumes ist gegeben durch den Quotienten einer Energie mfluk, welche während der quantenphysikalischen Unbestimmtheit beliebige für die Zeit der Fluktuation konstante Werte annehmen kann, sowie des sich in alle Dimensionen gleich ausdehnenden Raumes 4πR3/3 bezogen auf die zeitlich differentiell dazugehörige radiale Skala RU des Uruniversums.
Die entropische Energiedichte eines Urraumes dagegen ist gegeben durch eine Entropiekonstante ω2 als dessen Produkt mit dem Quotienten der zeitlich differentiell dazugehörigen radialen Skala des Uruniversums RU sowie einer Energie mfluk, welche während der quantenphysikalischen Unbestimmtheit beliebige für die Zeit der Fluktuation konstante Werte annehmen kann.
Der große Unterschied ist nun bei einer möglichen entropischen Kraftentfaltung durch die Sekundärfluktuation, dass wenn man die Beschleunigungsformel für aV in (188) betrachtet, die daraus resultierenden Kräfte räumlich asymmetrisch wirken müssen, während sich jene bei der Gravitation exakt raumsymmetrisch verhalten. Bei Letzterem wird die Trennung der Masse des Universums mU und die der Fluktuationsenergie mfluk pro Volumeneinheit wegen der Mathematik der gravitativen Formulierung aV =ζm2U/mflukR2 grundsätzlich unmöglich. Energetisch verschieden angereicherte Volumenteile selbst hypothetisch positiver gravitativer Beschleunigungen könnten sich also während keiner Zeit des expandierenden Universums kräftemäßig heterogen entwickeln. Das Entstehen asymmetrische Raumzeitkrümmungen ist unmöglich.
Und da nun die bei einer durch Entropiekräfte determinierten Sekundärfluktuation durch die inhomogene Energieverteilung im Urraum in der Ebene der Massenkonzentration (Diskus) die entropischen Beschleunigungskräfte deutlich geringer ausfallen als hinsichtlich des dreidimensionalen Restraumes (Halbschalen), gab es im ganzen Bereich des Diskus während der inflationären Expansion Raumzeitverwerfungen, welche ihrerseits asymmetrische Beschleunigungsfelder induzierten. Es ist nun leicht einzusehen, dass die absolute gravitative Symmetrie der entstandenen Elementarteilchen derart gebrochen wurde, dass jene sich nach und nach zu den uns bekannten kosmischen Systemen zusammenballen konnten.
Kosmologisch gravitative Systeme sind somit aus quantenphysikalisch wirkenden Systemen ohne Widersprüche hervorgegangen. Entscheidend dabei sind letztendlich die durch entropische Potentiale zustande gekommenen negativen Drücke. Die Energiedichten des Universums nämlich und die entropisch determinierte Energiedichte des Vakuums sind hinsichtlich evolutionär realistischer Volumina bzw. relevanter Zeiten durchaus vergleichbar: Quantenphysik und Gravitation durch die Entropiekraft vereint. Zweifel? Also schauen wir uns parallel nebeneinander in (189) das altbekannte Newtonsche Gravitationsgesetz, aus welchem sich das Einsteinsche Bewegungsgesetz der Allgemeinen Relativitätstheorie ableitet, nebst den formellen Zusammenhängen unserer „Theorie der entropisch determinierten Quantengravitation“ auf der Basis quantenphysikalisch oszillierender Materie(M)-Antimaterie(A)-Systeme(S) an:
gravitativ-relativistisches entropisch-deterministisches
Quantensystem U mit: mM = mA und mU / R = c2 / 2 ζ

Die Postulierung zum Beispiel eines Higgs-Feldes mit betragsmäßig bezüglich der Energiedichten des (falschen) Vakuums fV gleich großen negativen Drücken transformiert das Einsteinsche Bewegungsgesetz der ART über das Newtonsche Gravitationskraftgesetz in eine Gleichung der Form (189.3), aus welcher sich positive Beschleunigungen und damit inflationäre Expansionen von Urräumen ergeben. Die gleiche Formulierung ergibt sich auch aus dem universellen Entropiekraftgesetz im Zusammenhang mit speziellen entropischen Energiedichten. Damit entspricht die Einführung besonderer Potentiale und damit die Induzierung negativer Drücke in das Standardmodell der Quantenphysik (z.B. Higgs-Potentiale) ganz adäquat unserer Postulierung positiver entropischer Potentiale in die Makro- und Mikrophysik. Es handelt sich hier also ganz eindeutig um eine Äquivalenz durch uns postulierter entropischer Potentiale und beispielsweise durch die Higgs-Theorie postulierter negativer Drücke:

Einen besonderen Spezialfall stellt (192) dar, nämlich dann, wenn die Fluktuationsenergie mfluk gleichbedeutend mit der Masse des sich entwickelnden Universums mU ist. Die im Kapitel 4 gemachten rein heuristischen Überlegungen im Kontext mit der Hubble-Konstanten H0 und der Postulierung einer Entropiekraft im Zusammenhang mit der Überlegung von nicht rotierenden Schwarzen Löchern hinsichtlich der Berechnung der Kosmologischen Konstanten Λ (16) führen nun auch zu einer rein mathematisch nachvollziehbaren Entsprechung.
Wie nun entwickelte sich also das Universum an der Stelle des Hubble-Radius RHo weiter? Bleiben wir konsequent bei der quantenphysikalischen Betrachtungsweise mittels unserer Entropiekonstanten ω2, so ist hier die entropisch-deterministische Energiedichte (184) gegenüber der gravitativ-relativistischen Gesamtenergiedichte (183) immer noch zu vernachlässigen. Da wegen der per se Einstellung der Kritischen Energiedichte mit Erreichen des Hubble-Radius jene durch die verbleibende Bewegungsenergie der Materie im Universum exakt kompensiert werden musste, hatte man durch diese positive kinetische Gesamtenergie einen äquivalenten negativen Druck gleichen Betrages dieser Gesamtenergiedichte geschaffen. Diese positive Bewegungsenergie und damit verbunden der negative Druck sollte sich nur vermindern können, wenn durch irgendeine Störung am Hubble-Radius die Kritische Energiedichte unterschritten werden sollte.
Dann gäbe es zwei Möglichkeiten: Zum einen der Kollaps des Universum über das Uruniversum ins ewige Vakuum zurück, zum anderen die rein mathematisch ideale Variante der konvergiert abgebremsten Expansion zu einem fixen Endradius hin. Entsprächen diese Szenarien nicht der Realität, da es keine gravitativen Ungereimtheiten während der Hubble-Phase gäbe, müsste die Expansion bis in alle Ewigkeiten weiter voranschreiten. Das Universum wäre somit offen und würde sich für immer zeitlich proportional ausdehnen. Zieht man die derzeitige mittlere Energiedichte zu Rate, kommt man zu dem eindeutigen Schluss, dass unser Universum tatsächlich offen ist und sich ewig ausdehnen wird. Dass die ersten beiden Fälle nicht eingetreten sind, dass eine auch noch so unvorstellbar kleine Abweichung unser Universum nicht zu einem gebundenen System zurückgeführt hat, sollte letztendlich am permanenten Wirken entropisch-deterministischer negativer Zusatzdrücke gemäß (184) liegen, welche darüber hinaus seit dem Hubble-Radius unser Universum beschleunigt expandieren ließen: Erst kaum merklich und dann ab vor ca. 7 Mrd. Jahre sehr deutlich, wie anhand der Auswertung von Rotverschiebungen Supernovae des Typs Ia nachgewiesen werden konnte.
Die Gleichungen in (194) zeigen uns diese Zusammenhänge bezüglich der weiteren Expansion unseres Universums ab der Hubble-Zeit bis zum heutigen Tage wegen der in erster Näherung konstant als negativer Druck wirkenden resultierenden Energiedichte ρresul, wie uns die folgende Abbildung veranschaulichen soll. Ein schöner Nebeneffekt dieser Betrachtungsweise ist hierbei die raumachseninvariante Erklärung des Druckmultiplikators Drei des Terms (ρ+3p) des Einsteinschen Bewegungsgesetztes und dem daraus ergebenden Zwang des Universums, wegen der resultierenden e-Funktion, sich wiederum beschleunigt auszudehnen.
Abbildung 26: Entwicklung der „Drei negativen Drücke“ des Universums ab dem Hubble-Radius


Die Genauigkeiten der „Über-Kreuz-Bestätigungen“ der Gleichungen (194) mit den Aussagen des Kapitels 4 und weiterer Werte unserer Theorie aus Tabelle 1 sowie den experimentell nachgewiesenen Größen sind auch hier frappierend, wir sehen unsere gemachten Annahmen bestätigt. Ein Fragezeichen bleibt allerdings dahingehend bestehen, wie sich zeitlich gesehen ab dem Hubble-Radius bis zum Beginn der beschleunigten Expansion (siehe Abbildung 26) durch die fortschreitende Ausprägung der größten kosmischen Systeme (Supergalaxienhaufen) über die deshalb bedingte kumulative Vervielfältigung namens Dunkler Energie entropisch wirkender Systemfelder die Entropiekonstante ω2 konkreter Einzelsysteme (Dunkle Materie) in die Entropiekonstante ω1 des sich großsystemisch entwickelnden Universums (Dunkle Materie + Dunkle Energie) umwandelt.
Mit der Abbildung 27 soll die historische Entwicklung unseres Universums von der Planck-Skala bis jetzt veranschaulicht werden.
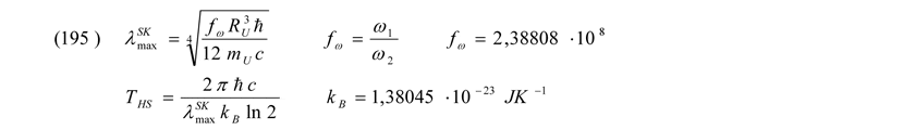
Die Temperaturen der jeweiligen Hintergrundstrahlung THS wurden dabei über die folgenden Formeln (195) berechnet, welche hinsichtlich der Emission maximaler Wellenlängen λmax idealer Schwarzer Körper SK unter Verwendung der Boltzmann-Konstante kB vor dem Hintergrund kosmischer mU, RU, relativistischer c, quantenphysikalischer ћ und entropischer ω Erwägungen während der Expansion des Universums empirisch hergeleitet wurden. Die Abweichung zur experimentell ermittelten Hintergrundstrahlung des jetzigen Universums von 2 % sollte dabei durchaus hingenommen werden, könnte allerdings durch eine immer noch vorhandene minimale Restwärme der logarithmischen Nachkühlung zum exakten experimentell bestimmten Wert führen.

Damit existiert nun auch kosmologisch gesehen die Basis des sich zu jeder Zeit quantenphysikalisch-entropisch verhaltenden Universums, auf welcher ein modifiziertes Standardmodell des inflationär expandierenden Universums mit seinen ganzen konkreten Einzelheiten und Wechselwirkungen der dabei entstehenden gravitativ wirkenden Materie zur Anwendung kommen kann.
Das Problem im Standardmodell war die Frage nach der Dunklen Materie, der Dunklen Energie und erst recht die Vereinbarkeit der Quantenphysik auf den kleinsten Skalen unseres Universums unmittelbar vor dem Urknall mit der Einsteinschen Gravitationstheorie ab der Skala des Hubble-Radius. Um diese Fragen beantworten zu können, führten wir im Kapitel 1, der Einführung, die Entropiekraft ein.
Der Kreis ist nunmehr geschlossen und ich würde mich sehr freuen, wenn wir mit der „Theorie der entropisch determinierten Quantengravitation“ unseren Teil zur Lösung oben genannter Probleme der Mikro- und Makrophysik beigetragen haben.
Abbildung 27: Entwicklungsphasen unseres Universums mit charakteristischen Energiewerten

