1. Einführung
2. Gravitation, Entropiekraft und Raumzeit
3. Entropiekonstante des kosmischen Universums
4. Dunkle Energie und Dunkle Materie
5. Beschleunigte Expansion des Universums
6. Grenzwerte im Mikrokosmos
7. Betrachtungen im übergreifenden Universum
8. Entropiekraft und Dunkle Materie in kosmischen Systemen
9. Quantenphysikalische Gravitations-, Entropie- und Energiefelder
10. Bosonen, Fermionen und das Gravitationsentropiefeld
11. Massen, Ladungen und Energien von Elementarteilchen
12. Quantenmechanische Vermittlung der vier Fundamentalkräfte
13. Entropiefeld und Kosmologisches Standardmodell
14. PDF Download / Tabellen A und B
11. Massen, Ladungen und Energien von Elementarteilchen
Zuerst zu der Problematik der Ruhemassen von Elementarteilchen, welche ja als Konstanten über die experimentelle Bestimmung in das Standardmodell eingeführt werden müssen.
Die nachfolgende Abbildung zeigt aber schon sehr deutlich, dass ruhemassebehaftete Fermionen im Rahmen des natürlichen Logarithmus ihrer Ruheenergie in Bezug zur Ladung nun doch irgendwelchen (geometrischen) strikteren Gesetzmäßigkeiten unterworfen sind.
Abbildung 16: Fermionen hinsichtlich des natürlichen Logarithmus ihrer Ruhemasse m0 und der Ladung Qe

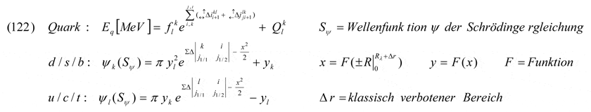
Doch gibt es auch eine rein mathematische Möglichkeit Ruheenergien zu berechnen? Folgende empirisch ermittelten je drei gleichartigen Formeln für die Ruhemassen in Megaelektronenvolt (MeV) bezüglich der drei Familien verschiedenartig geladener (Q) Elementarteilchen bieten sich dafür an:

Des Weiteren konnten ebenfalls empirische Gleichungen zur Berechnung der Protonen- und Neutronenmasse

sowie der W± und Z0-Bosonen gefunden werden:

Dabei ergeben sich theoretische Ruhemassen im Vergleich zu den experimentell ermittelten Werten:
Tabelle 10: Berechnete und experimentell ermittelte Ruhemassen von Teilchen des Standardmodells

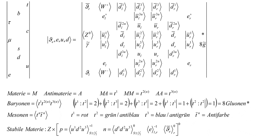
Welche allgemeine Systematik könnte diesen empirischen Formeln zugrunde liegen? Dazu betrachten wir das Massespektrum aller bekannten und wissenschaftlich nachgewiesenen elementaren Fermionen (bis auf die Neutrinos, welche hier hoffentlich richtig eingepasst wurden) und Bosonen beginnend von kleineren zu größeren Massen mij und nummerieren diese mit (nET: n = 1…14), ähnlich Quantenzahlen, durch:
![]()
Betrachten wir zuerst die sechs Quarks innerhalb und außerhalb ihrer Familien und bilden Differenzen von nET = jkl mit nET = ikl der Reihen kij und lij sowie von nET = lij mit nET = kij der Spalten ikl und jkl (der hochgestellte kleine Index entspricht der Potenz der e-Funktion obiger Gleichungen 109-114),

so erhält man für die Quarks q mit einem Vorfaktor f und vorzeichendefiniertem Betrag ihrer Ladung Q folgende allgemeine Formeln zur Berechnung der Ruhemassen bzw. Zustände der Wellenfunktionen, da die waagerechten Differenzen bezüglich i addiert mit Zwei sowie die senkrechten Differenzen bezüglich k addiert mit Eins genau den Potenzen der natürlichen Zahl e der Gleichungen (109) bis (114) entsprechen:

Kann man einen ähnlichen Zusammenhang auch für die geladenen drei Leptonen Ĭ konstruieren? Dazu verwenden wir ebenfalls die obige Matrize, und bezeichnen die dritte neue Reihe mit p:

Auch hier kann man einen Zusammenhang mehr oder weniger „an den Haaren herbeiziehen“, nämlich wenn wir wieder einen entsprechenden Vorfaktor verwenden und dann die Potenz der natürlichen Zahl e in der Weise bilden, indem man Drittel-Quotienten mit dem vorhergehenden Summanden addiert, deren erster Zähler Zwei in der Folge mit den Differenzen aus j und i abzüglich der Zählerpotenz des vorhergehenden Summanden potenziert wird. Die Formel für unsere drei geladenen Leptonen inklusive des Zustandes der Wellenfunktion ψ der Schrödingergleichung sieht dann wie folgt aus:

Außerdem scheint es so, wenn man die Zustandsfunktionen der Wellengleichungen aus (122) und (123) mit der natürlich-logarithmischen Grafik aus Abbildung 16 vergleicht, als dass die Quarks B Komplexen mit sich selbst und mit Leptonen A, wobei die e, d, u-Gruppe den Grundzustand (Zo) darstellt, entsprechen könnten:

Folgende Symmetrieoperationen für die Elektronengruppe wären daher denkbar:

Bei Einbeziehung des Neutrinos könnte somit die Transformation und Superponierung sowohl von Leptonen in/mit Quarks als auch von Quarks in/mit Leptonen und andere Quarks/Leptonen im Zusammenhang der Teilchenbildung und des Teilchenzerfalls durch die die Starke bzw. Schwache Kraft eine weitere Erklärungslinie gefunden haben.
Ob diese so interpretierten hypothetischen Zusammenhänge der experimentellen Praxis standhalten können? Wer weiß? Keineswegs zweifelhaft aber ist jedoch, dass sich zu mindestens die drei Familien der oben betrachteten elementaren Fermionen einer relativ stringenten Systematik unterordnen, welche weite Massenbereiche von vornherein ausschließen. Es scheint also alles darauf hinzudeuten, dass sich im gravitativ-entropischen Massenspektrum diskontinuierlich mehr oder wenig scharf abgegrenzte Energiepotentiale bilden, welche als Ergebnis Bosonen, Fermionen, Mesonen, Baryonen und im stabilsten Falle Protonen und Elektron sowie Neutrinos entsprechen. In den Formeln (109) bis (121), falls diese der physikalischen Realität wenigstens in erster Näherung entsprechen, erkennen wir nämlich darüber hinaus vier entscheidende Komponenten, deren komplexes Zusammenwirken zu nur ganz bestimmten Teilchen mit nur ganz bestimmten Ruhemassen führen dürften:
a) Einfluss der Elementarladung Q = ⅓, ⅔, 1, z.B.: (1 – IQI)2 π • e1 + IQI.
b) Einfluss anderer Ladungs- bzw. Quantenzustände x/y, z.B.: 17/2 π • e8 + 9/5 π • e5.
c) Einfluss eines geometrischen Faktors π mit a) und b), z.B.: IQI π/12 • e2/3.
d) Einfluss der Stärke der Vakuumfeldpotentiale als Potenzen der natürlichen Zahl e, z.B.: (1 – IQI) π • e7 – IQI.
Ich werde im Folgenden versuchen nachzuweisen, dass a), b) und c) aus der Konsequenz der herkömmlichen Quantentheorie des Standardmodells resultieren. Was heißt: Die Zustände im Mikrokosmos sind quantisiert, im Endeffekt also bedeutet, dass alle Bosonen und Fermionen und in dessen Folge gebildete zusammengesetzten Elementarteilchen immer auf gleiche und austauschbare Grundbausteine (Teilchensymmetrie) zurückgeführt werden können.
Darüber hinaus erweitere ich diese hinlänglich bekannten Gesichtspunkte um zwei Postulate – eines für das Gesamtuniversum und eines für den Mikrokosmos:
Postulat 3: Das Verhältnis von Energie bzw. Masse zum variablen Skalenfaktor eines Systems hat einen stabilen Maximalbetrag der Größe c2/2ζ, was der Formulierung der Grenzgröße eines nicht rotierenden Schwarzen Loches entspricht.
Postulat 4: Planck-Größen ergeben sich aus integral auf- und differential abbauenden maximalen gravitativen Potentialen mc3Rλ/ħ bzw. entropischen Potentialen ωRλ4/4m2, höchstens jedoch c2, welche während des Verlaufes der Unbestimmtheitszeit durch die alternierende Entstehung virtueller Materie- und Antimaterieteilchen dem Energieerhaltungsgesetz, entsprechend einer ständig periodischen Energiebildung und -anhilierung im Vakuum, genügen.
Mit dem Anstrich d) und der im Postulat 4 gemachten weiterführenden Aussagen kommt dann die Theorie ins Spiel: Das komplexe Zusammenwirken von Impulsen, potentiellen Energien und der hier neu eingeführten entropischen Potentialen. Alle zusammen genommen sollten erst bewirken, dass sich in den Teilchen produzierenden Vakuumfeldern an charakteristischen Stellen Energiemaximas und –minimas aufbauen, deren Reihenfolge und Stärke dafür verantwortlich sein sollte, ob und in welchem Umfange diese Potentialfelder Bosonen, Hadronen und/oder Leptonen mit welchen konkreten Massenspektren erzeugen.
Am Beispiel des Elektrons und seines Feldes (weil fundamental, frei und mit den genauesten experimentell ermittelten Werten) werden nun diese Postulate konkret verfolgt. Es wird sich zeigen, dass das Elektron exemplarisch, allerdings nur bis zur Einführung der Entropiepotentiale, für alle anderen Elementarteilchen steht, weil sich, wie nachzuweisen ist, Energie-, Ladungs- und Massebeträge eliminieren und so neben der Lichtgeschwindigkeit nur noch eine geometrische Dimension und ein dimensionsloser Betrag stehen bleiben, welchen man durchaus als die invariante Komplexe der energievariablen Kopplungskonstanten der vier fundamentalen Kräfte interpretieren könnte.
Die maximale potentielle (gravitative) Feldenergie eines virtuellen Elektronen-Positronen-Paares, gekennzeichnet als Inertialsystem 1, ist demnach gegeben durch:

Umstellen, Erweitern und Gleichsetzen mit dem Ziel, die Äquivalenz von Energie und Ladung (unabhängig geläufiger Konventionen) nachzuweisen, ergibt offensichtlich eine Ungleichung. Diese wird dann in erster Näherung zu einer invarianten Gleichung, wenn man den unten zu sehenden dimensionierten π-Faktor einfügt:

Die maximale gravitative (potentielle) Energie eines Elektrons im Feld, gekennzeichnet als Inertialsystem 2, dagegen ist gegeben durch:

Mittels obiger Beziehungen umgeformt, um wieder die Energie-Ladungs-Äquivalenz festzustellen, erhält man ebenfalls eine Ungleichung. Auch jene kann man mit nur minimaler Aberration durch einen dimensionsbehafteten π-Faktor in eine invariante Gleichung überführen:

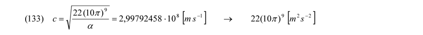
Indem man die mit den π-Faktoren korrigierten Gleichungen (125) und (127) kreuzt sowie mit Hilfe der o. g. formellen Zusammenhänge umformt und erweitert, kürzen sich letztendlich alle Ausdrücke, außer die Lichtgeschwindigkeit c, die Feinstrukturkonstante αEM und ein komplexer π-Faktor, welcher dann die Einheit m2s-2 aufweist und die Größe 6,558002·1014 besitzt. Da die Lichtgeschwindigkeit c eindeutig genau bis zur achten Stelle nach dem Komma bestimmt ist (2,99792458·108 m/s) sowie auch die Feinstrukturkonstante αEM zu einer der genauesten experimentell berechneten Konstanten zählt (7,2973525376·10-3) und man unterstellen könnte, dass ein nötiger Korrekturfaktor FK nichts mit einer Fehlinterpretation der π-Faktoren zu tun hat, würde man schlussfolgern, dass es neben der Feinstrukturkonstante αEM noch einen anderen Term der Größe FK = 0,9999189558 gibt:

Es bleibt also festzuhalten, dass neben einer noch näher zu interpretierenden möglicherweise fundamentalen in beiden Inertialsystemen gültigen Kopplungskonstanten αneu nur ein π-Faktor neunter Potenz die Lichtgeschwindigkeit und umgekehrt die Lichtgeschwindigkeit die neue Kopplungskonstante festlegen. Sonst spielen keine Konstanten, keine Energien und Ladungen für diese Determinierung eine Rolle. Das führt unweigerlich zu der Aussage, dass bis auf die besagten zwei Größen sämtliche anderen physikalischen Größen derart streng quantifizierte Konstanten sind, dass sie sich logischerweise eliminieren. Alle Einheiten bis auf Weg und Zeit sind verschwunden. Es bleibt nur noch die Raumzeit bzw. ein Beschleunigungsfeld übrig. Und da Kopplungskonstanten etwas über Potential- bzw. Vakuumfelder aussagen, muss also angenommen werden, dass in der Quantenphysik ausschließlich geometrische Faktoren in der Zeit eine Rolle spielen. Superponierte Raumzeitkrümmungen der verschiedensten Skalenpotentiale sollten sich demzufolge in den Kopplungskonstanten der vier fundamentalen Kräfte widerspiegeln, wobei laut Formel (128) in dann beiden Inertialsystemen in der komplexen Raumzeit streng die Lichtgeschwindigkeit gilt. Das führt zu folgender Schlussfolgerung:
Das Inertialsystem 1 des Teilchenfeldes und das Inertialsystem 2 des dazugehörigen Teilchens sind zueinander invariant.
Wenn dem so ist, muss αneu aus (128) eine invariante Funktion aller vier Kopplungskonstanten sein. Die einschlägig diskutierten Abhängigkeiten der einzelnen Kopplungskonstanten von der Energieskala haben mich zu folgender empirischer Gleichung inspiriert:

Dabei bedeuten EM: Elektromagnetische, ST: Starke, SW: Schwache und GR: Gravitative Wechselwirkung.
Bei eher geringen Energieskalen, also im Bereich niederenergetischer Beobachtungen, ergibt sich demnach:

Supersymmetrietheorien sagen voraus, dass sich alle vier Kopplungskonstanten bei Energien im Planck-Bereich um größer als 1015 GeV exakt in einem Punkt schneiden, also genau gleich sein sollten. Auf Gleichung (129) bezogen, ergibt das eine gemeinsame Kopplungskonstante von:

Dieser Wert deckt sich mit dem von einigen supersymmetrischen Theorien vorhergesagten ziemlich genau.
Unsere allgemeine quantenphysikalische Gleichung herkömmlicher Lesart hat nun die folgende Form:

Die Lichtgeschwindigkeit ist demnach nichts anderes als das Radikal der neunten Potenz von 10π multipliziert mit 22 mit der Dimension eines Beschleunigungsfeldes, dividiert durch eine durch das Vakuumpotential im unschärfebestimmten Bereich hervorgerufene in beiden Inertialsystemen allgemeingültige dimensionslose Konstante α:

Allerdings bleibt die Frage im Raum stehen, welche Prozesse denn nun bei dieser quantisierten allgemeinen Einfachheit aus Raum, Zeit bzw. Potential die vier Kopplungskonstanten innerhalb des in allen Inertialsystemen invarianten Faktors α zu so diametral verschiedenartigen und nebenbei noch energieabhängigen Einzelkonstanten macht, so dass man eigentlich gar nicht mehr von Konstanten reden dürfte. Mit der „Viele-Potentiale-Betrachtung“ wollen wir darauf eine Antwort finden. >>>zurück zur Auswahl<<<
>>> zum nächsten Kapitel (Quantenmechanische Vermittlung der vier Fundamentalkräfte) >>>
